Anhang D: Rexnungen tsur Vellenmexanik
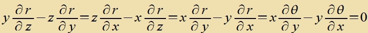
Umrexnung des Drehimpulzoperators inn sfärische Koordinaten
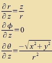
| Mit |  | unt |
|
berexnet man




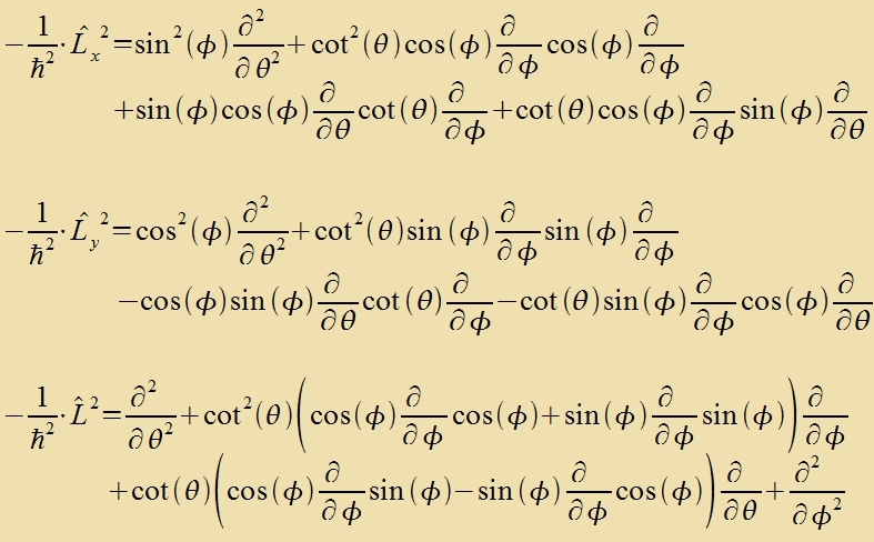
 | |
| Es ist |
| Bei der Multiplikatsion mit Operatoren muss di urcprünglixxe Reihenfolge beibehalten verden, di binomice Formel gilt nixt!

Fertauct verden können tsvei Faktoren, di nixt beide tsum zelben Vinkel gehören. Andernfalls gibt es zogenannte Fertaucungsrelatsionen, di aus der Produktregel aptsuleiten zint.
|
|


Tsurük tsu Kapitel
XXVII. Vellenmexanik
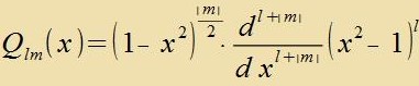
Bectätigung fon Q
4;-3(x) als Lözung der Differentsialgleixung (40)
Für belibige Kvantentsalen n, l, m, di den aufgefürten Bedingungen genügen, kann mit den angegebenen Rodriguez-Formeln durx einfaxxes Differentsiren di Vellenfunktsion
berexnet unt als Lözung der entcprexxenden Differentsialgleixung bectätigt verden.
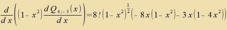
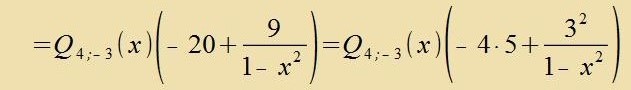
 | soll gelözt verden durx |  |
|
 | Daraus folgt |  | (17)
|

|  | q.e.d.
|
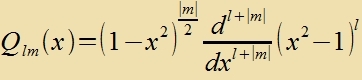
Q
4;-3(x) erfüllt di Eigenvertgleixung (40) für di Kvantentsalen λ=l=4 unt μ=m=-3.
Tsurük tsu Kapitel
XXVII. Vellenmexanik
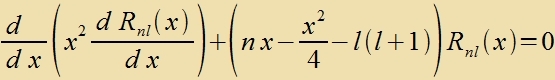
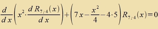
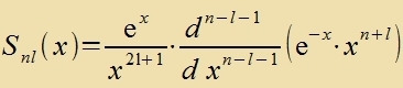
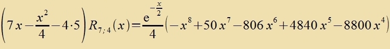
Bectätigung fon R
7;4(x) als Lözung der Differentsialgleixung (50)
 | soll gelözt verden durx |  | (20)
|
 | (21)
|


 | q.e.d.
|
R
7;4 (x) erfüllt di Eigenvertgleixung (50) für di Kvantentsalen n=7 unt l=4.
Tsurük tsu Kapitel
XXVII. Vellenmexanik
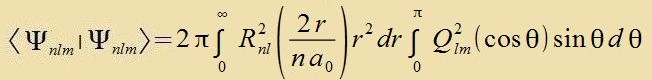
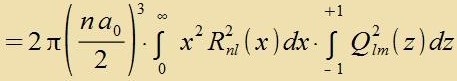
Normirung der Eigenfunktsionen des Vasserctoffatoms.
Um eine Vellenfunktsion Ψ tsu normiren, vird über das Diracce Skalarprodukt
(bra-ket) das Kvadrat der Norm fon K∙Ψ bectimmt
unt gleix 1 gezetst.

Di Vellenfunktsion Ψ des Elektrons imm Vasserctoffatom ist inn
Gleixung (56) inn Kapitel XXVII inn sfäricen Koordinaten gegeben, das
Volumenelement inn den gleixen Koordinaten ist dV = r
2 sinθ dr dθ dφ.

Da veder di Funktsionen von r, θ unt φ nox di Grentsen fon einander aphengen, cpaltet das Integral inn ein Produkt aus drei Integralen auf.

Hir vurden r unt θ zupstituirt unt ctat -sin θ vurden di Grentsen fertauct |
|
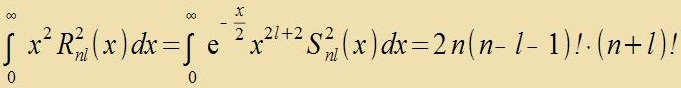
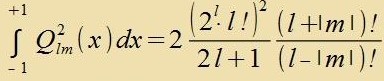
Di Laguerre- unt Legendre-Polünome vurden inn der Matematik cpätestens imm 19. Jarhundert ausfürlix ctudirt einclislix der Integrale, di tsu irer Normirung nötig zint.
Es ist
 | unt |  | | (30)
|
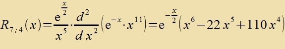
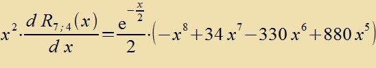
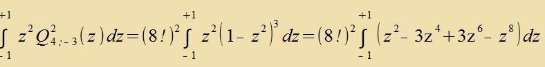
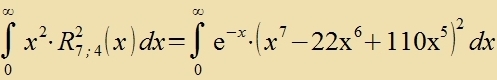
Dize Integrale zollen an einem Beicpil naxgerexnet verden. Für n=7, l=4 unt m=-3 zint R
7;4(x) unt Q
4;-3(x) con mit den Gleixungen (21)
unt (17) bectimmt.
|  |
Dis ist gleix 2∙7∙(7+4)!∙(7-4-1)! unt ctimmt überein mit Gleixung (30)
|
 |
|
|  |
Dis Ergebnis ctimmt ebenfalls mit Gleixung (30) überein
|
| Das Ergebnis ist |
|
Mit der Vurtsel aus dem Kervert als Normirungsfaktor erhält man di normirte Vellenfunktsion des Elektrons imm Vasserctoffatom. Datsu kommt nox ein Fazenfaktor
e
iβ mit belibigen reellen β, der vegen (e
iβ)*∙e
iβ=1 keine Ausvirkung auf den Normirungsfaktor hat.

| mit den Polünomen |  | unt |
|
Tsurük tsu Kapitel
XXVII. Vellenmexanik