Anhang V: Variatsionsrexnung
Di Euler-Langrange-Gleixungen
Inn einem einfaxx tsuzammenhengenden Gebit G des Raumes R
n zei K
n di Menge aller tsveimal ctetig differentsirbaren Kurven
x(t), di alle den Anfangspunkt
xA=
x(t
A) unt den Endpunkt
xB=
x(t
B) haben.
Di Variable t ist der Parameter für den Durxlauf der Kurven - t muss hir nixt als Tseit ferctanden verden. Di Apleitung fon
x(t) nax t, di durx einen Punkt gekentseixnet vird, ist nax der
Forauszetsung für di
x(t) mindestens einmal ctetig differentsirbar. Veiter zei eine Funktsion g(t,
u,
v) gegeben, di inn G belibig oft nax allen Komponenten fon
u unt
v
differentsirbar ist.
| ist ein Funktsional der Funktsion g(t,u,v), das aphengig ist fon der Kurve x(t) aus
Kn. | (1)
|
Es zoll eine notvendige Bedingung hergeleitet verden dafür, dass J(
x(t)) minimal ist gegenüber J(
y(t)) für benaxbarten Kurven
y(t) aus
K
n.
Es zei

mit

Veil y(t) tsveimal ctetig differentsirbar ist, gilt das Gleixe für
o(t). Imm übrigen ist o(t) belibig, zodas jedes y(t) aus Kn dargectellt verden kann. |
|
Der Integrand des Funktsionals vird inn eine Reihe nax Potentsen fon ε entvikkelt. Es ist dabei unnötig, di Funktsion g(t,
u,
v) partsiell nax t tsu differentsiren, da
dt/dε=0 ist. Glider höherer als erster Ordnung verden inn o(ε)∙ε tsuzammengefasst.



Venn ε gegen 0 geht, dan fercvindet o(ε),
y(t) geht über inn
x(t) unt der Differentsialkvotsient vird tsur Apleitung des
Funktsionals (A1) an der Ctelle
x(t). Eine notvendige Bedingung dafür, dass das Funktsional über di Kurve
x(t) minimal ist gegenüber den näxst
benaxbarten Raumkurven aus K, ist, dass dize Apleitung vercvindet.
 | (5)
|
Durx partsielle Integratsion erreixt man, dass
oi(t) ausgeklammert verden kann, der hox geleitete Ausdrukk fercvindet, veil
oi(t
A)=
oi(t
B)=0 ist.
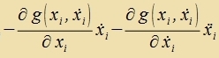
| Tsviccenergebnis: | Venn das Funktsional (1) minimal ist, dan gilt |  | (7)
|
Es vird nun tsuzätslix forausgezetst, dass es für di Kurven
x(t) aus K
n keine Tsvangsbedingungen gibt, dass alzo di x
i(t) unaphengig
fon einander zint. Dan gibt es aux keine über di Definitsion hinausgehenden Becränkungen für di Kurven
o(t), zi können frei ausgevält verden, um di Bedingung (A7) tsu fereinfaxxen. Zint etva
alle o
i(t) gleix Null für i≠k, dan bleibt fon der Zumme nur der Zummand für i=k übrig. Das gilt für jedes k=1,...n, zodas di Zumme inn di n eintselnen
Zummanden tserfällt.
|  | für i fon 1 bis n. |
|
Väre di Funktsion inn der ekkigen Klammer für ein t mit t
A ≤ t ≤ t
B ungleix 0, dan gäbe es für dize
ctetige Funktsion ein apgeclossenes Interall, in dem zi ungleix null väre, one das Fortseixen tsu vekseln.
o(t) vird nun zo gevält, dass es inn dizem
Intervall pozitiv, zonst aber überall Null ist. Das Integral väre dan ungleix 0. Es ist alzo nixt möglix, dass di ekkige Klammer imm Intervall
t
A ≤ t ≤ t
B irgendvo nixt fercvindet. Daraus folgen di Euler-Lagrange-Gleixungen für i=1 bis n:
  | (9)
|
Imm zer häufigen Fall, dass der Integrand inn (1) nixt eksplitsit fon t aphengt, lassen zix di Gleixungen (9) fereinfaxxen.
 | (10)
|
Der letste Critt folgt aus (10). Damit erhält man als notvendige Bedingung dafür, dass das Funktsional (1) minimal vird, di zogenannte Beltrami Identität
|  | mit i=1 bis f unt konstanten C. | | (13)
|
Forausgezetst ist, dass di x
i(t) tsveimal stetig differentsirbar unt fon einander unaphengig zint. Auserdem muss
g(x
i(t),dx
i(t)/dt) stetig differentsirbar zein unt darf nixt eksplitsit fon t aphengen.
Dize matematicen Herleitungen zint frei fon irgendvelxen füzikalicen Inhalten. Veder ist di Antsal f der Komponenten x
i festgelegt, nox ire Art.
Veder für den Kurvenparameter t nox für den Integranden, di Funktsion g, ist eine füzikalice Bedeutung gegeben. Erst bei der Anvendung muss geklärt verden,
für velxe füzikalicen Grösen di Funktsion g, der Parameter t unt di x
i ctehen.
Bei den häufigsten Anvendungen inn der Füzik ist der Kurvenparameter t di Tseit unt der Integrand eine Energi, di als Lagrange-Funktsion L gecriben vird. Da aber inn den zeltensten
Fällen di Bankurve inn kartezicen Koordinaten ausgedrükkt vird, zint di Argumente inn der Lagrange-Funktsion 'ferallgemeinerte Koordinaten' q, di zo gevält verden, dass zi fon
einander unaphengig zint. Ire Tsal f ist der Freiheitsgrad des Züstems. Das Funktsional ergibt eine Virkung
S = ∫ W dt, unt venn dize Virkung nax dem d'Alambertcen Printsip
ekstremal verden zoll, folgen aus den Euler-Lagrange-Gleixungen (9) di Lagrange-Gleixungen der Füzik unt als Zonderfall di einfaxxere Beltrami Identität (10).
|  | für i=1,....f | | (14)
|
Matematic gezehen erfüllen Lözungen fon (4) nur eine notvendige Bedingung. Op das aux hinreixend ist, ist für di Füzik venig interessant. Vixtig ist nur, op zolxe Lözungen eine
füzikalic reale Bedeutung haben.
Tsurük tsu Kapitel
VI. Analütice Mexanik
Variatsionsrexnung für Felder
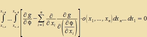
| Das Funktsional |  | zoll minimal verden. | (15)
|
Das n-dimenzionale Volumen V, über das integrirt vird, ist durx di Integratsionsgrentsen festgelegt. Eine Variatsion der x
i imm Volumen
V bevirkt keine Änderung. Daher brauxt nur di Aphengigkeit der Funktsion g fon φ unt, venn g inn erster Näherung entvikkelt vird, di Abhengigkeit fon den
partsiellen Apleitungen berükzixtigt verden. Tsur Variatsion der Funktsion φ(x
1, ... ,x
n) vird eine Funktsion
ε∙o(x
1, ... ,x
n) datsu addirt, di auf dem Rand fercvindet.
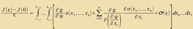
| Inn erster Näherung gilt dan |
|
| Der Differentsenkvotsient des Funktsionals ist |
|
Venn ε gegen Null geht, fercvindet der letste Zummand inn der Klammer, ψ geht gegen φ unt es entcteht di Apleitung des Funktsionals an der Ctelle φ, di
gleix Null zein muss, venn das Funktsional für di Funktsion φ ein Minimum annimt.

| Nax partsieller Integratsion ist das erste Glid gleix Null, veil eine Funktsion auf dem Rand vercvindet. | |
|
 | | Väre der Integrand inn einem Punkt P unt deshalb vegen der Ctetigkeit inn einer Umgebung fon P pozitiv (oder negativ),
dan vird o(x1, ... ,xn) zo gevält, dass es inn dizer Umgebung pozitiv unt zonst Null ist. Das Integral väre ungleix Null. Vidercpruxx!
|
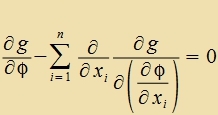
| Venn das Funktsional (1) für di Funktsion φ(x1, ... ,xn) minimal ist gegenüber eng benaxbarten
Funktsionen, dan gilt di Lagrange-Gleixung | |  | | (22)
|
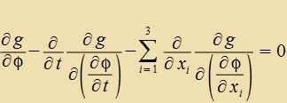
| Mit n=4 unt n4=t erhält man di Lagrange-Gleixung für ein Feld imm dreidimenzionalen Raum.
|  | (23)
|
Geodätice Linie
| Inn einem Raum belibiger Dimenzion vird di geodätice Linie bectimmt, indem di Variatsion über das Funktsional S=∫ds gleix Null gezetst vird
|
|
| Inn einem firdimenzionalen nixteuklidicen Raum zei das gegenüber dem lokalen Koordinatenzüstem invariante Linienelement gegeben durx
|
|
Hir unt imm folgenden zint di x
μ kontravariante Koordinaten. Durx eine Funktsion λ(x
ν) kann eine Car fon Fläxxen bectimmt verden, di di Kurven tsviccen den beiden Punkte X
A unt X
B
cneiden. Di Koordinaten x
μ der geodäticen Linie können dan durx λ ausgedrükkt verden unt eine Variatsion fon λ fürt tsu
einem Punkt auf einer benaxbarten Kurve. Zo kann aus allen Kurven tsviccen X
A unt X
B dijenige ausgevält verden, für di das Funktsional
S=∫ds einen Ekstremvert annimt. Es gilt
|  | Hir ist w definirt durx |  |
|
Imm folgenden gilt Einsteins Zummenkonventsion. Danax vird inn Produkten über einen grixicen Indeks, der inn tsvei Faktoren auftrit, fon 0 bis 3 zummirt, das
Zummentseixen fällt fort. Um vi inn den beiden forigen Apcnitten di erste Näherung der Funktsion w(λ) tsu bectimmen, vird di Apleitung bectimmt. Di Änderungen
nax dem tsveiten Gleixheitstseixen zint als reine Umbenennungen tsulässig.


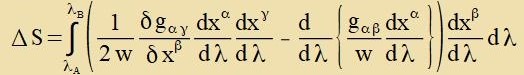
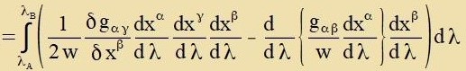
Damit kann di Apveixung ΔS der raumtseitlixxen Veglänge einer Kurve fon der geodäticen Linie inn erster Näherung angegeben verden. Vider vird vi con oben
inn dizem Kapitel einer der beiden Zummanden im Integranden partsiell integrirt.

 | Da der letste Faktor belibig ist, folgt, dass di Klammer (...) fercvindet. |
|
| Mit λ=s folgt w²=1 aus |  | | Di Euler-Lagrange-Gleixungen für di geodätice Linie lauten
|  | (31)
|
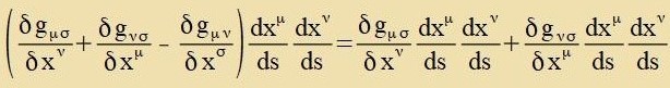
| Es gilt | 
|
| Damit kann Gleixung (31) umgeformt verden tsu |  | Ist clislix gασ di tsu
gασ inverze Matriks, dan gilt |
|
|  | mit |  | | (35)
|
Dizes Gleixungszüsten gibt di Bedingungen an für eine geodätice Linie inn der nichteuklidicen Geometri, di imm neuntsenten Jarhundert insbezondere
fon Riemann unt Christoffel entvikkelt vurde. Di Γ
αμν zint di Christoffel-Zümbole tsveiter Art.
|
Tsurük tsu Kapitel XXXI. Gekrümmte Raumtseit
|