Füzik

Home
 





IV. Energi, Kraft unt Bevegung
Porträ (bearbeitet)
Fundctelle


Venn der Veg, über den Arbeit geleistet vird, genau entgegengezetst ist tsur Kraft, gegen di zi geleistet vird, zo gilt


Um einen Körper aus der Ruhe tsu becleunigen, muss Arbeit gegen di Trägheitskraft FT geleistet verden. Da di Zumme aus Arbeit unt kineticer Energi erhalten bleibt, ist -WA gleix der kineticen Energi.


Vird ein Körper angehoben, zo muss Arbeit gegen zein Gevixt geleistet verden. Dis Gevixt ist di Kraft, mit der di Erde in der Nähe der Erdoberfläxxe den Körper antsiht. Zi ist proportsional tsur Masse des Köpers, di Proportsioalitätskonstante ist di Erdbecleunigung g = 9,81 m/s². Di geleistete Arbeit bleibt als potentsielle Energi erhalten.


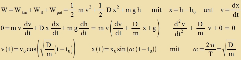
Drükkt man eine Ctalfeder tsuzammen oder tsiht man zi auseinader, zo zetst zi der Formänderung eine rüktreibende Kraft entgegen, di inn einer guten Näherung proportional tsur Auslenkung ist, alzo tsur Ferlängerung oder Ferkürtsung der Feder. Di Proportsioalitätskonstante ist di Federkonstante D. Um di Feder um den Veg x austsulenken, muss Arbeit geleistet verden, di dan als Cpannungsenergi inn der gecpannten Feder ctekkt.

Imm folgenden vird nixt mer tsviccen geleisteter Arbeit unt gecpeixerter Energi unterciden (nur Apzolutverte!).

Venn ein Körper durx eine äusere Kraft ferformt vird, aber unmittelbar nax dem Ende der Kraft vider tsu zeiner urcprünglixxen Form tsurükkert, ist er elastic. Zolange di Kraft nixt tsu gros vird, gilt das Hookecen Gezets. Danax ist di Ferformung proportsional tsur ferformenden Kraft. Für einen langen runden Ctab aus elasticem Material, bei dem Kvercpannungen fernaxlässigbar zint, gilt für di relative Ferlängerung Δl/l bei einer Tsugkraft F zenkrext tsur Kvercnittsfläxxe A



Di Materialkonstante E ist der Elastitsitätsmodul. Der Ctab zetst der äuseren Einvirkung eine gleix grose Kraft entgegen. Gegen dize Kraft muss bei der Ferformung Arbeit geleistet verden, di dan als Cpannungsenergi imm ferformten Körper ctekkt. Datsu vird über di momentane Ferlängerung s=Δl integrirt.

Di Dixte der Cpannungsenergi ist
(5)






(6)


Bei cteigendem Drukk vird das Gaz oder di Flüssigkeit komprimirt unt umgekert. Änlix tsum Hookecen Gezets ist bei Flüssigkeiten unt Gazen di relative Volumenänderung ΔV/V proportsional tsur Drukkänderung. Der Proportsionalitätsfaktor ist der Kompressionsmodul K.
(7)


Venn eine Flüssigkeit oder ein Gaz inn einem Tsülinder mit der Kvercnittsfläxxe A durx einen Kolben, der den Tsülinder dixt apclist, komprimirt vird, dan ist ΔV/V gleix Δl/l unt Δp=F/A. Zolange der Kompressionsmodul K konstant ist, zint di Rexnungen identic mit denen für den festen Körper.
(8)




Rotiert eine als punktförmig angenommene Masse um eine Drehakse imm Abstand r, zo ist ire Rotatsionsenergi di kinetischen Energi. Rotirt ein ausgedenter Körper, dan haben di eintselnen Teile untercidlixxe Gecwindigkeit, unt man becreibt di Rotation mit der Vinkelgecvindigkeit. Di fercidenen Beiträge tsur Rotatsionsenergi verden über di Massenferteilung integrirt. Venn di Dixte ρ konstant ist, vird das Massenelement dm durx das Volumenelement dV erzetst.


Das Trägheitsmoment ist imm allgemeinen ein Tenzor, dessen virkzame Komponente zix aus der jeveiligen Lage der Drehakse ergibt. Für einen rotatsionszümmetricen Körper, der um zeine Zümmetriakse rotirt, zint Tsülinderkoordinaten (r, φ, z) geeignet. Dann ist das Volumenelement dV = r dφ dA, vobei dA = dr dz ein infinitezimales Rextekk ist, das mit der Drehakse inn einer Ebene ligt. Di Integratsionsgrentsen für φ zint unaphengig fon r unt z. Imm folgenden zei R der (grösste) Radius, H di Höhe unt M di Masse des Körpers.

Für rotatsionszümmetricer Körper:
TsülinderKegelHalbkugel


Um einen Drat tsu ferdrillen, ist ein Drehmoment nötig unt es muss Arbeit geleistet verden. Das rüktreibende Moment M, das der Drat der Ferdrillung (Torzion) entgegenzetst, ist inn guter Näherung proportional tsum Torzionsvinkel φ, um den der Drat ferdrillt ist. Der Proportsionalitätsfaktor ist das Direktionsmoment D. Für eine äusere Kraft F, di an einem Hebelarm r angreift unt zo dem rüktreibenden Moment M entgegengezetst gleix ist, gilt



W ist di potentsielle Energi des ferdrillten Drates.

Bei allen mexanicen Forgängen entcteht durx Reibung Värme. Als rein mexanice Forgänge können zolxe betraxtet verden, bei denen die Reibungsferluste fernaxlässigbar gering zint. Dan ändern zix di Anteile der eintselnen Energiformen, värend di Gezamtenergi konstant bleibt. Di Behandlung dizer Forgänge folgt einem einheitlixxen Muster: di Apleitung der Gezamtenergi nax der Tseit fercvindet unt di Integratsion der entctehenden Differentsialgleixungen ergibt di Bevegungsgleixung. Di Integratsion vird hir nixt behandelt, das Ergebnis kann leixt durx Differentsiren überprüft verden. Auserdem zint di maksimalen Energien jeder Form gleix der Gezamtenergi, venn di anderen fercvinden.


Dize Formeln becreiben mit den entcprexxenden Anfangsverten h0 unt v0 den freien Fall unt den zenkrexten Vurf zovi di Gecvindigkeit nax einem Fall aus der Höhe hmax oder di erreixbare Höhe bei einem Vurf mit der Anfangsgecvindigkeit vmax. Für einen crägen Vurf brauxen vir ein Koordinatenzüstem, dessen x-Akse horitsontal unt dessen y-Akse zenkrext tsum Boden ist. Der Koordinatenurcprung zoll imm Anfangspunkt der Vurfban ligen, das heist, h0 ist gleix Null; di Anfangsgecvindigkeit hat di Komponenten vx0 unt vy0. Da keine Kraft gegen di Impulzkomponente px = mvx virkt, bleibt vx = vx0 konstant, värend vy zix mit der Höhe y = h ändert.


Di letste Gleixung enthält di Tseit nixt mer, zi ctellt eine Bankurve dar, di zogenannte Vurfparabel. Mit ir lassen zich alle Daten eines Vurfs berechnen, venn di Anfangsgecvindigkeit unt ire Richtung bekannt zint.

Drei Formen mexanicer Energi zint imm Cpil, venn eine Kugel eine cife Ebene hinunter rollt. Translatsion unt Rotatsion zint dadurx ferbunden, dass der tsurükgelegte Veg nax einer follen oder teilveizen Umdrehung der Kugel gleix derem Umfang oder gleix dem entsprexxendem Kreizbogen ist.


Imm Fergleix tsu einem Körper, der reibungslos di cife Ebene hinunter gleiten vürde, ist di Becleunigung der Kugel um 2/7 geringer. Für den Tsülinder muss inn der dritten Tseile 2/5 durx 1/2 erzetst verden, di Becleunigung ist dan um ein Drittel geringer.

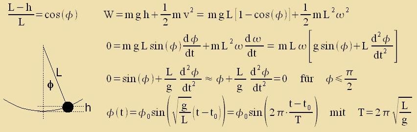
Aux beim Pendel vekselt di Energi tsviccen kineticer unt potentsieller Form.

φ(t) ctellt di Gleixung einer Cvingung mit der Periodendauer T dar. Zi gilt aber nur für geringe Amplituden (sin φ ≈ φ).

Bei den bisher behandelten Bevegungsgleixungen trit di Masse m des Körpers imm Anzats jedesmal tsveimal auf, inn der Trägheit unt inn der Gevixtskraft. Es väre denkbar, dass es tsvei untercidlixxe Verte für di Trägheit einerzeits unt für das Gevixt andererzeits geben könnte: di träge Masse unt di cvere Masse. Dan vürden dize Massen inn den Bevegungsgleixungen erhalten bleiben, mindestens mit irem Ferhältnis. Nur veil dizes Ferhältnis für alle Körper gleix eins ist, fercvindet di Masse inn den behandelten Bevegungsgleixungen.

Eine periodice Cvingung erhält man aux, venn man eine an einer Feder aufgehengte Masse auslenkt und vider loslässt.

(16)


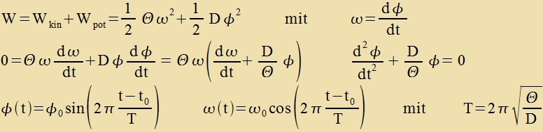
Venig anders ist di Rexnung für ein Drehpendel, venn ein Körper mit dem Trägheitsmoment Θ an einem Drat mit dem Direktsionsmoment D aufgehengt ist unt eine Drehcvingung ausfürt.


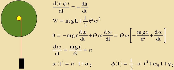
Venn ein konstantes Drehmoment M auf einen Körper mit dem Trägheitsmoment Θ virkt, erfärt dizer Körper eine konstante Vinkelbecleunigung. Beim Maxwellcen Rad ist auf der horitsontalen Akse (Radius r) ein Faden aufgevikkelt, an dem ein Gevixt m∙g hengt. Di Fallctrekke Δh des Gevixts ist gleix der apgevikkelten Fadenlänge, dize gleix dem Bogen auf der Akse, unt der tsugehörige Vinkel ist der Drehvinkel des Rades.


Venn eine Masse zix auf einer Kreizban bevegt, muss zi ctändig tsum Mittelpunkt hin abgelenkt verden. Es virkt eine tsum Mittelpunkt des Kreizes gerixtete Kraft, eine zogenannte Tsentripetalkraft. Da zi immer zenkrext tsur momentanen Bevegungsrixtung der Masse gerixtet ist, leistet zi keine Arbeit: di kinetice Energi einer Masse auf einer Kreizban bleibt konstant. Damit zint aux Bangecvindigkeit unt Kreizfrekvents konstant.


(18)


Gleixgültig velxer Art di Kraft ist, di eine Masse auf einer Kreizban hält, ist zi immer gleix der Tsentripetalkraft. Häufig vird mit einer Ceinkraft, der Tsentrifugalkraft gerexnet, di der Tsentripetalkraft genau entgegengezetst gerixtet zei. Man kann dan fon einem Gleixgevixt tsviccen der virkzamen Kraft unt dizer Tsentrifugalkraft ausgehen.

Historices: Bis etva tsur Mitte des 16. Jarhunderts var die Kinematik (Lere fon der Bevegung) ein Zammelzurium aus Magi, Müstik und Filozofi. Vi Aristoteles glaubte man tsum Beicpil, cwere Körper filen cneller als leixte. Gegen Ende des Jarhunderts ctellte dan Galilei, der zix ausfürlix mit Arximedes becäftigt hatte, di Fallgezetse auf unt tseigte eksperimentell mit der rollenden Kugel inn einer Fallrinne, dass di Gecvindigkeit proportional tsur Tseit unt der Veg proportsional tsum Kvadrat der Tseit tsunimt. Indem er füzikalice Forgänge matematic begründete unt eksperimentell überprüfte, begründete Galilei di moderne Naturvissencaft. Ein Jarhundert cpäter gelang es Newton, mit genauen Begriffsbildungen füzikalice Gezetse inn matematicer Form auftsuctellen unt zo di Keplercen Gezetse der Planetenbevegung füzikalic tsu begründen.

Bei der Herleitung fon Bevegungsgleixungen kommt ctets di Masse eines Körpers als Urzaxxe zeiner Trägheit ins Cpil. Venn di Masse aux di Becleunigung durx ir Gevixt bevirkt, fercvindet zi aus dem Ergebnis. Grundzätslix ist ein Untercid inn der trägen unt der cveren Masse denkbar; das var unter anderen Newton bevusst. Aber con Galilei hatte mit zeiner Beobaxtung, dass imm Vakuum alle Körper gleix cnell fallen, di Gleixheit fon cverer unt träger Masse festgectellt. Mit modernen Mitteln vurde getseigt, dass ein möglixxer relativer Untercid kleiner zein muss als 10-12.

A