FLRW-Metrik und Friedmann-Gleichungen |
| In der dreidimensionalen Hyperebene | ![]() | des ℝ4 wird das Element | ![]() | umgeschrieben in r, φ,θ |
| mit den Koordinatentransformationen |
| Man erhält zunächst für die dxi |
![]() | Wenn die Quadrate der dxi addiert werden, heben sich alle gemischten Glieder dr⋅dφ, dφ⋅dθ und dθ⋅dr gegenseitig auf. Es bleibt
|
| Mit | ![]() | folgt schließlich |
|
| Das Linienelement wird nun gebildet aus zeitlichem und räumlichem Anteil |
|
![]() | mit den neuen Bezeichnungen x0=ct, x1=r, x2=Θ und x3=φ. |
| Aus den Linienelement liest man ab und weil giigii=1 sein muss, folgt | ![]() |
|
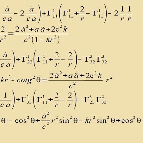
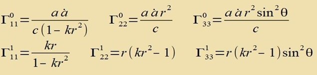
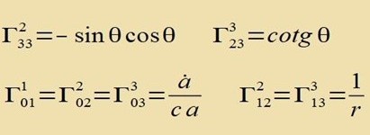
| Die Christoffelsymbole | | zu dieser Metrik sind |
![]() | ![]() | Alle weiteren Christoffelsymbole sind gleich 0. |
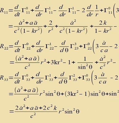
![]() | Der Riemannsche Krümmungstensor wird verjüngt zum Riccitensor |
|

![]() |
|
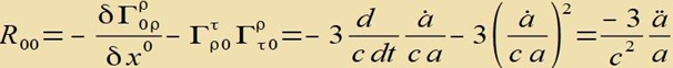
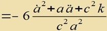
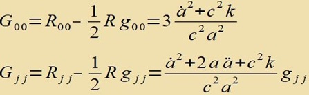
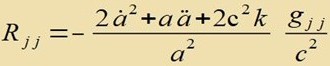
| Die Komponenten des Riccitensors sind | ![]() | und mit j=1,2,3 |
|
| Zu diesem Riccitensor gehört der Ricciskalar | ![]()
|
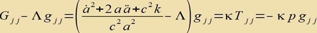
Die Komponenten des Einsteintensors sind |
|
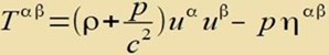
| Der Energie-Impuls-Tensor eines idealen Gases (oder einer Flüssigkeit) ist in der Minkowski Raumzeit gegeben durch
ρ: Massen/Energiedichte p: isostatischer Druck u: Vierergeschwindigkeit ηαα=+1 (kontravariante Form!) Es ist u0=(c,0,0,0) und damit u0u0=c2, alle anderen Geschwindigkeiten sind gleich Null |
|
| Im Minkowski-Raum | ![]() | In der RW-Metrik |
|
| Nun ist alles vorbereitet, um die Feldgleichungen | ![]() | mit | ![]() | anzuwenden. |
| Aus | ![]() | folgt die erste Friedmann Gleichung |
|
| ======================================== | |||
![]() | führt zu |
|
| Indem man in dieses Zwischenergebnis die erste Friedmann Gleichung einsetzt, erhält man die zweite Friedmann Gleichung |
|
| ====================================== |