Anhang L: Liegruppen
Generatoren einer Lie-Algebra
V zei ein n-dimenzionaler Vektorraum über den kompleksen Tsalen. Dan bilden di linearen Transformatsionen, di V bijektiv auf V apbilden, eine Gruppe; denn
dize Apbildungen zint assotsiativ, es gibt das neutrale Element unt tsu jeder linearen Transformatsion gibt es di umgekehrte Transformatsion. Mit Ausname des
Kommutativgezetses gelten alzo di gleixen Gezetse (Aksiome) vi bei den Tsalen, zodas di cpetsiellen Kommutatsionsregeln eine bezondere Rolle cpilen. Di Gruppe
der allgemeinen linearen Transformatsionen vird mit GL(n,ℂ) betseixnet. Di Transfomatsionen aus GL(n,ℂ) verden als Matritsen gecriben, di
Elemente fon V als Cpaltenvektoren unt di Transformatsion ist das Matriksprodukt fon Matriks unt Cpaltenvektor, bei dem nur eine Cpalte, alzo vider ein
Cpaltenvektor entcteht. Di cpetsielle lineare Gruppe SL(n,ℂ) becteht aus den Matritsen A∈GL(n,ℂ), deren Determinante gleix 1 ist. SL(n,ℂ) ist
eine Untergruppe fon GL(n,ℂ). Erzetst man ℂ durx ℝ, zo erhält man di Gruppen der reellen linearen Transformatsionen.
| Di Transformirte AT einer Matriks A erhält man, venn man alle Matrikselemente fon A an der Hauptdiagonalen spigelt, zodas alzo
di aik durx di aki erzetst zint. Verden auserdem inn der Transformirten alle Matrikselemente durx ire konjugirt
kompleksen erzetst, erhält man di Adjungirte A†. | |
|
Di Matritsen A∈SL(n,ℂ), für di gilt A†A=E, bilden eine Untergruppe
fon SL(n,ℂ), di unitäre Gruppe SU(n) unt di Matritsen A∈SL(n,ℝ), für di gilt
ATA=E, bilden eine Untergruppe fon SL(n,ℝ), di ortogonale Gruppe SO(n).
|
| GL(n,ℂ) | ⊃ | SL(n,ℂ) | ⊃ | SU(n)
| | | | |
| | ∪ | | ∪ | | ∪
| | | | |
| | GL(n,ℝ) | ⊃ | SL(n,ℝ) | ⊃ | SO(n)
|
|
Di Matrikseinträge der A∈GL(n) zint Funktsionen, zodas GL(n) unt ire Untergruppen nicht endlixxe Gruppen darctellen. Es zint Lie-Gruppen, topologice
Mannigfaltigkeiten, auf denen differentsirt unt integriert verden kann. SO(2) ist di Gruppe der Drehungen um einen Punkt inn der Ebene, SO(3) di Gruppe der Drehungen
um einen Punkt imm dreidimenzionalen Raum unt di einfaxxen Lorentztransformatsionen (Lorentz-boosts) verden durx eine Untergruppe der SL(2) becriben.
Um einen allgemeinen Überblick über di möglixxen Lie-Gruppen tsu bekommen, unterzuxt man insbezondere di Lie-Algebren: das zint di "Tangentsialräume" an di
Lie-Guppen an der Ctelle des neutralen Elementes. Di tsu einer Lie-Gruppe GL(n,ℝ) oder GL(n,ℂ) gehörende Lie-Algebra
𝔤𝔩(n,ℝ) oder
𝔤𝔩(n,ℂ)
ist ein Vektorraum über den reellen Tsalen. Di Matritsen A'(E) ctellen di Bazisvektoren der jeveiligen Lie-Algebra dar. Inn den Fertaucungsregeln
- den Kommutatoren [A,B]=AB-BA - dizer Bazismatritsen (ctat Bazisvektoren) der Lie-Algebra ist di Ctruktur der Lie-Gruppe festgelegt, zi zint di Generatoren
der Lie-Gruppe.
Di Einträge a
ik(t) einer Matriks A(t)∈SL(n) können zo gevält verden, dass
a
ik(0)=δ
ik ist (δ
ii=1 unt δ
ik=0 für i≠k).
Dan ist A(0) gleix der Einheitsmatriks E, dem neutralen Element der Matriksgruppe. Veil di Determinante einer Matriks A(t)∈SL(n) unaphengig fom Parameter t
immer gleix 1 ist, fercvindet di Apleitung der Determinante für jedes t.

| Sn ist di Gruppe der Permutatsionen fon
n Elementen, σ(i) di i.te Permutatsion der Tsalen fon 1 bis n unt sgn(σ)=±1, je naxdem, op di
Permutatsion gerade oder ungerade ist.
|  (3)
|

| Denn di ak σ(k)(0) zint nur dan fon Null
ferciden, venn zi inn der Hauptdiagonalen ctehen. Dan ist das Produkt der n-1 Diagonalelemente gleix 1 unt das differentsirte
Matrikselement gehört ebenfalls inn di Hauptdiagonale.
| (4)
|
| Zetst man (4) ein inn (3), dan bleibt fon der Summe nur der Summand für di neutrale Permutatsion übrig. |  |
|
Di Cpur der Apleitung A'(t) einer Matriks A(t)∈SL(n) an der Ctelle t=0 ist alzo gleix der Apleitung irer Determinante unt damit gleix Null. Dize cpurlozen
Matritsen A'(0) zint di Bazismatritsen der Lie-Algebra
𝔰𝔩(n,ℝ) oder
𝔰𝔩(n,ℂ), di als Vektorraum über den reellen Tsalen gebildet vird, unt di Generatoren der Gruppe SL(n,ℝ) oder
SL(n,ℂ). Vi inn jeder Algebra oder jedem Vektorraum gibt es aux andere Zätse fon Baziselementen, di aber immer untereinander durx Linearkombinatsionen
austaucbar zint.
| Für A(t)∈SU(n) gilt |  | unt vegen |  | folgt |
|
| Di Bazismatritsen der Algebra 𝔰𝔲(n) zint cifhermitece Matritsen
|  | Di Bazismatritsen der Algebra 𝔰𝔬(n) zint cifzümmetrice Matritsen
|  | (7)
|
Inn einer cifzümmetricen nXn-Matriks ctehen inn der Hauptdiagonalen nur Nullen unt oberhalb dizer Diagonalen n(n-1)/2 reelle Tsalen. In einer cifhermitecen
nXn-Matriks ctehen vegen der tsuzätslixxen Imaginärteile oberhalb der Hauptdiagonalen doppelt zo file reelle Tsalen; datsu kommen n-1 rein imaginäre
Tsalen inn der Diagonalen, venn di Cpur fercvindet. Dize frei välbaren reellen Tsalen füren tsu n(n-1)/2 linear unaphengigen Bazismatrtisen der Algebra
𝔰𝔬(n) unt tsu n
2-1 linear unaphengigen Bazismatritsen der Algebra
𝔰𝔲(n).
Veiter fordert di Matematik der Lie-Algebren di Gültigkeit der Jacobi-Identität für je drei Bazismatritsen: [A,[B,C]]+[B,[C,A]]+[C,[A,B]]=0
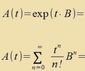
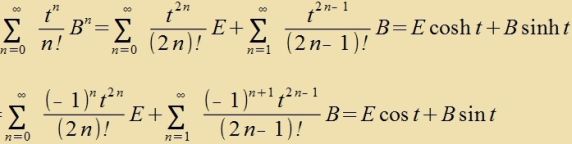
Analog tsur Funktsionenteori vird für jede kvadratice Matrik X das Matrikseksponentsial exp(X) durx di Eksponentsialreihe definirt. Für exp(X) gilt di Gleixung
e
Xe
Y=e
X+Y imm allgemeinen nixt; denn aus XY≠YX folgt e
Xe
Y≠e
Ye
y, veil bei der
Multiplikatsion der Reihen di Reihenfolge der Matritsen nixt geändert vird, aber e
X+Y=e
Y+X zein muss. Dize
Funktsionalgleixung gilt für fertaucbare Matritsen X, Y unt mit t∈ℝ unt einer Matriks B gilt
exp(t
1B)∙exp(t
2B)=exp((t
1+t
2)B)=exp(t
2B)∙exp(t
1B). Di Matritsen A(t)=exp(t∙B)
bilden eine abelce Lie-Gruppe mit exp(-t∙B)=A
-1(t) unt A(0)=A
0=E. Di Apleitung fon A(t) nax t ist B∙A(t) unt an der Ctelle des
neutralen Elementes gleix B. Di Matriks B, mit der di Gruppe konstruirt vurde, ist alzo ein Generator der abelcen Lie-Gruppe
A(t).
Untergruppen fon SL(2,ℂ)
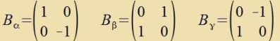
| Fon den fir reellen Tsalen xjk einer cpurlozen reellen 2x2-Matriks zint drei frei välbar. Deshalb zint höxstens drei
Matritsen linear unaphengig, di Lie-Algebra 𝔰𝔩(2,ℝ) ist ein dreidimenzionaler Vektorraum.
| |
 | (8)
|
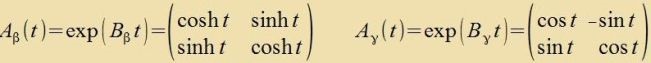
| Für dize Bazismatritsen der Lie-Algebra 𝔰𝔩(2,ℝ) gilt | |  |
|
| Di Fertaucungsrelatsionen der Matritsen zint | |  |
|
Alzo gilt entveder
oder es ist
| | 
|
  | (13)
|
Dis zint drei einparametrige abelce Untergruppen fon SL(2,ℝ)⊂SL(2,ℂ). Nur Aγ(t) ist ortogonal, veil nur
Bγ cifzümmetric ist. |
|
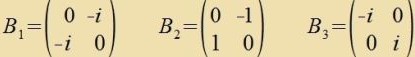
Di Bazismatritsen der Lie-Algebra
𝔰𝔲(2) zint komplekse antihermitece 2x2-Matritsen. In der Hauptdiagonalen können daher
nur rein imaginäre Tsalen ctehen.
| Bedingungen für dize Matritsen zint: x1,1=-x2,2 unt aus x2,1=a+bi folgt x1,2=a-bi.
Es bleiben drei Freiheitsgrade, di Lie-Algebra ist dreidimenzional. | |
| | B1, B2, B3 erfüllen di Bedingungen. | (14)
|
| Aus |  | folgt | |   | (15)
|
Dis zint drei einparametrige abelce Untergruppen fon SU(2)⊂SL(2,ℂ). Di Gruppe Aγ(t)=A2(t)
ist als Untergruppe zovol inn SU(2) als aux inn SL(2,ℝ) enthalten. |
|
| Di Produkte der Matritsen (14) zint | 
|
| unt vegen |  | folgt für di Bazismatritsen der 𝔰𝔲(2)
|  | (17)
|
Drei fercidene Buxctaben inn alfabeticer Reihenfolge als Inditses zollen immer für di Indeksfolgen 1,2,3 oder 2,3,1 oder 3,1,2 ctehen.
| Inn dizer tsüklicen Creibveize gilt |
| Di Lie-Algebra 𝔰𝔲(2) ist mit dizen drei Bazismatritsen inn zix geclossen. | (18)
|
Di reelle Lie-Algebra
𝔰𝔲(2) kann mit den Kommutatoren eineindeutig auf den dreidimenzionalen euklidischen Raum
apgebildet verden, vobei di Kommutatoren dem Vektorprodukt entsprexxen. Zo zint dize beiden Strukturen tsu einander izomorf unt inn beiden gilt
[B
1,[B
2,B
3]]+[B
2,[B
3,B
1]+[B
3,[B
1,B
2]]=0 unt entcprexxend
r1⨯(
r2⨯
r3)+
r2⨯(
r3⨯
r1)+
r3⨯(
r1⨯
r2)=0. Dize Betsihung, di imm Dreidimenzionalen fast trivial erceint, gilt bei der Konstruktsion
fon Lie-Algebren höherer Dimenzion als Aksiom (Jacobi-Identität).
| Um jedes Element der Form |  | inn der reellen Algebra 𝔰𝔩(2,ℂ)
dartsuctellen, brauxt man 6 linear unaphengige Bazismatritsen.
| | Fon den 6 Matritsen (8) unt (14) zint 5 linear unaphengig. Eine 6. cpurloze Matriks, di als linear unaphängiger
Bazismatriks inn 𝔰𝔩(2,ℂ) hinzukommt, ist
|
|
|
Bildet man mit allen Matritsen B di Algebra über den kompleksen Tsalen, zo erhält man di kompleksifitsirte Lie-Algebra
𝔰𝔩(2,ℂ)
ℂ. Vegen iB
1=B
β, iB
2=B
0 unt
iB
3=B
α genügen di drei Bazismatritsen der
𝔰𝔲(2) als Baziszüstem der
𝔰𝔩(2,ℂ)
ℂ. Dize komplekse Lie-Algebra hat tsvei reelle Formen, di cpaltbare
𝔰𝔩(2,ℝ) unt di kompakte
𝔰𝔲(2) mit den tsugehörigen Lie-Gruppen
SL(2,ℝ) - Gl. 13 - unt unt SU(2) - Gl. (15) -. Dize ausfürlixxe rexnerice Darctellung der Lie-Gruppe SL(2,ℝ) mag als Ferancaulixxung allgemeiner
Zätse aus der Matematik der Lie-Algebren dinen.
SL(2,ℂ) hat zeks einparametrige abelce Untergruppen. Di Determinanten aller 6 Matritsen haben den Vert +1.
  | (20)
|
SO(3) unt SU(3)
Für n=3 gibt es drei linear unaphengige cifzümmetrice Matritsen
(xkk=0 unt x1,2=-x2,1≠0 oder x2,3=-x3,2≠0 oder x3,1=-x1,3≠0)
|  | mit |  | (21)
|

|  | Das zint di drei abelcen Untergruppen der SO(3), der Drehungen um drei tsu einander zenkrexte Aksen
imm Raum.
|
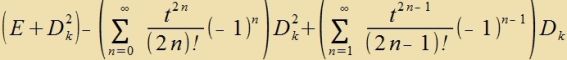
Di D
k bilden ein Baziszüstem der Lie-Algebra
𝔰𝔬(3), di Lie-Gruppe SO(3) becteht aus den drei Untergruppen
C
k(t).
Di Dimenzion der Lie-Algebra
𝔰𝔲(3) ist n
2-1=8. Eine axtdimenzionale Bazis unt di Kommutatoren dizer
cifhermitecen Bazismatritsen zint:
 | |  | | (24)
|
Di Bazismatritsen D
i der
𝔰𝔬(3) zint gleixtseitig drei der axt Bazismatritsen der
𝔰𝔲(3), veil SO(3) eine Untergruppe der SU(3) ist. Mit Ausname fon
[P
2,Q
2]=2(R
1+R
2), das inn der Tabelle tsur Apkürtsung als 2R
3 erceint, ergeben alle Kommutatoren vider
eine Bazismatriks. Tsum Naxveiz der Jacobi Identität vird eine Funktsion f(A,B,C) definirt.
  | | Di Matritsen Pi, Qi, R1
unt R2 erfüllen di Jacobi Identität, zi bilden eine Bazis der Lie-Algebra 𝔰𝔲(3) unt zint di Generatoren der
Lie-Gruppe SU(3). | (25)
|
Di eigentlix ortoxrone Lorentz-Gruppe inn SL(4,ℝ)
Di Matritsen der Lorentz-Transformatsionen zint reell unt haben di Determinante 1, zint aber nixt ortogonal. Deshalb vird di Lorentz-Gruppe inn den Untergruppen
fon SL(4,ℝ) gezuxt. Veil alle Einträge der Bazis-Matritsen fon 𝔰𝔩(4,ℝ) reel zint, gibt es 4(4-1)/2=6 Bazis-Matritsen.
Drei 4X4-Matritsen Gi entctehen, venn inn den drei Matritsen Dk aus (21) oben je eine Tseile unt links je eine Spalte mit Nullen hintsufügt vird.
Di übrigen drei Matritsen Fi enthalten außer 0 nur inn den tsugefügten Tseilen und Cpalten je eine 1.

Es gilt Fi3=Fi unt Gi3=-Gi. Mit dem
Matrikseksponentsial erhält man di Untergruppen
| | Di Kommutatoren zint

f(A,B,C) zei vider di in (25) definirte Funktsion.
 Damit ist di Bedingung der Jacobi Identität erfüllt.
Für cpäter: [Fi,Fj]+[Gi,Gj]=0 unt [Fi,Gj]-[Gi,Fj]=0
Das Matrikseksponentsial ertseugt aus den zeks Bazismatritsen zeks einparametrigen abelcen Untergruppen fon SL(4,ℝ)
Veil drei Untergruppen fon SL(4,ℝ) eine räumlixxe Drehgruppe enthalten, vird di Gruppe aux mit SO(1,3) betseixnet.
| | (27)
(28)
|
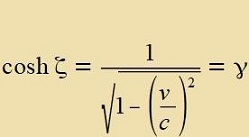
| Zetst man |  | dan gilt |  | | (29)
|
Di Transformatsion Λ
4 ist gleich dem Lorentz-Boost (4) inn Kapitel
XXIII. Raum-Tseit. Jedes
Λ
i ist entveder ein Lorentz-Boost oder eine räumlixxe Drehung, SL(4,ℝ) oder O(1,3) ist damit di Lorentz-Gruppe.
Für di Anvendung als Koordinatentransformatsion inn der Füzik müssen Cpigelungen unt eine falce Tseitrixtung ausgeclossen verden, das vird durx ein
hoxgectelltes Plustseixen markirt. SO
+(1,3) ist di Gruppe der eigentlixxen ortoxronen Lorentz-Transfomatsionen, man schreibt
L
†+=SO
+(1,3).
Di 6 Matritsen F
i unt G
i zint di Bazis-Matritsen der Lie-Algebra
𝔰𝔩(4,ℝ),
dis ist di Lorentz-Algebra.
Das direkte Produkt SU(2)XSU(2)
| Für di Matritsen Fk unt Gk (Gl. (27)) gilt | | (30)
|
| Nun vält man als neue Bazismatritsen | | (31)
|
Für dize Bazismatritsen gilt
| |
(33)
|
Di H
k fertaucen mit den I
k. Daher tserfällt di Lie-Algebra inn tsvei Unteralgebren.
Di Algebra gebildet mit den Bazismatritsen H
k über den reellen Tsalen unterceidet zix inn nixts fon der Lie-Algebra
𝔰𝔲(2), da di Fertaucungsregeln der H
k mit denen der Bazismatritsen B
k fon
𝔰𝔲(2) übereictimmen (fergleixe (34) unt (17)). Dize beiden Algebren zint izomorf. Da aux di Fertaucungsregeln der
I
k mit denen der B
k übereinctimmen, ist aux di Algebra, di mit den Bazismatritsen I
k über den reellen Tsalen gebildet vird, izomorf
tsu
𝔰𝔲(2). Di Lorentz-Algebra
𝔰𝔩(4,ℝ) ist gleix der der Algebra, di aus tsvei
𝔰𝔲(2) gebildet vird:
𝔰𝔩(4,ℝ) =
𝔰𝔲(2) x
𝔰𝔲(2). Daraus folgt
 | (37)
|
| Für einen 'boost' mit Drehung um di Relativgecvindigkeit ist |  |
|
| Vegen [HK,Ik]=0 (33) können di Argumente addirt verden
|  | (39)
|
Veil di H
k unt di I
k dizelbe Fertaucungsregeln befolgen unt dize gleix den Fertaucungsregeln inn Gleiung (17) zint, ist mit Gleixung (39)
di Tserlegung der eigentlix ortoxronen Lorentzgruppe inn tsvei Reprezentatsionen A
H unt A
I der Gruppe SU(2) entcprexxend Gleixung (37)
folltsogen. Di beiden Reprezentatsionen zint nixt änlix, es gibt keine Matriks S für eine Änlixkeitstransformatsion SA
HS
-1=A
I, veil
di konjugirt-kompleksen Faktoren α±iη zo nixt inn einander überfürt verden können.
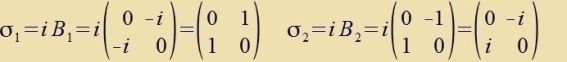
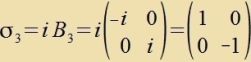
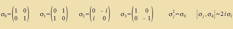
Multiplitsirt man einen antihermitecen oder cifzümmetriceb Generator mit i, erhält man eine hermitece Matriks i∙A. Mit exp(-i∙t∙(iA)) vird dan das urcprünglixxe
Matrikseksponentsial viderhergectellt. Zo erhält man aus den Generatoren (17) der SU(2) die Paulimatritsen, di imm Kapitel
XXIII. Raum-Tseit definirt zint.
  | |
|
 | mit tsüklicer Fertaucung der j, k, l | (41)
|
Ein Bazisveksel inn der Lie-Algebra
𝔰𝔲(2) fon den H
k unt I
k tsu den Pauli-Matritsen unt neue Parameter
bringen Gleixung (39) auf di üblixxe Form
 | Di beiden Faktoren zint tsvei nixt-änlixxe Darctellungen der Lie-Gruppe SL(2,ℂ). | (42)
|
 | |  | (43)
|
| Jede der beiden Darctellungen ist kompakt unt einfaxx tsuzammenhengend unt überdekkt di eigentlix ortoxrone Lorentzgruppe. Tsu jeder der beiden
Darctellungen gehören vider zeks einparametrige Untergruppen, di als Transformatsionen imm tsveidimenzionalen Vektorraum über den kompleksen Tsalen virken.
Das ist der Raum der (tsveidimenzionalen) Spinoren. |
|
Dirac-Matritsen
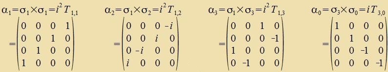
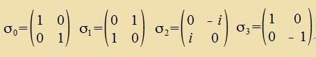
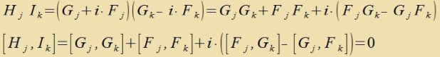
Di Elemente des direkten Produktes tsveier Gruppen verden mit dem Kronecker-Produkt berexnet. B1=A1(π/2),
B2=A2(π/2), B3=A3(π/2) unt E=A1(0)=A2(0)=A3(0) zint fir Elemente der Gruppe SU(2)
(Gleixungen (8) unt (11)). Di Tabelle tseigt di 16 Kronecker-Produkte dizer fir Elemente.
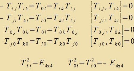
 | Für i, j, k, l = 1, 2, 3 unt j, k, l tsüklic fertaucend gilt
|
Di T
ij innerhalb der grünen Umrandung zint hermitece Matritsen (A
†=A), di übrigen T
ij zint
- auser der Einheitsmatriks T
00 - antihermitece Matritsen.
Imm vezentlixxen zint inn der Tabelle di Dirac-Matritsen con enthalten (blau umrandet). Ein Bazisveksel fon den Generatoren B der SU(2) tsu den Pauli-Matritsen ergibt
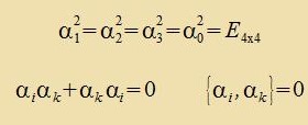
 | Für alle Dirac-Matritsen α gilt (i≠k)
 | (44)
|
Da für di
Dirac-Gleixung alle Matritsen α antikommutiren müssen, muss α
0 aus einer anderen Tseile genommen verden als di übrigen α.
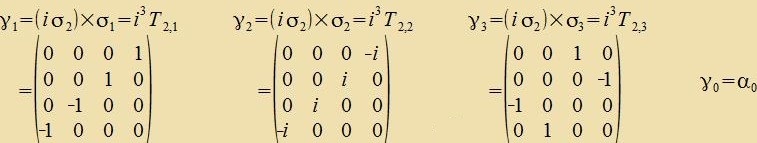
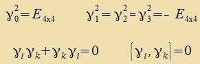
Das gilt aux für den folgenden tsveiten Zats fon Dirac-Matritsen, der ebenfalls con inn der Tabelle enthalten ist (rot-braun umrandet).
 | Für alle Dirac-Matritsen γ gilt (i≠k)
 | (45)
|
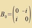
| Man kann di Dirac-Matritsen als Blokkmatritsen creiben |
|
| Hir zint O unt I di 2x2-Matritsen |  | unt |  | |
Tsviccen α unt γ gelten di Umrexnungen |
|
Darctellung fon Firervektoren durx hermitice 2X2-Matriten
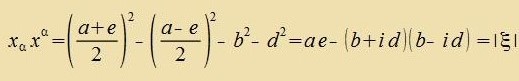
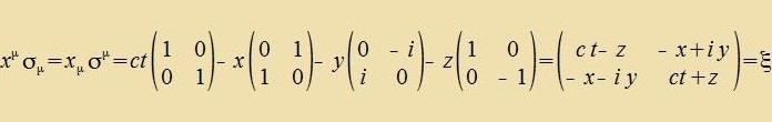
Inn der Raumtseit kann der Firerort (ct,x) aux durx eine hermitece 2X2-Matriks zo dargectellt verden, dass deren Determinante gleix der Firernorm ist.
 | (50)
|
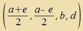
| Umgekert kann jeder hermitecen 2X2-Matriks |
| mit reellen a, b, d, e der Firerort |  | tsugeordnet verden. | | (51)
|
| Dan gilt |  | Di Determinante ist vider gleix der Firernorm. | | (52)
|
Di Darctellungen fon Ort unt Tseit eines Ereignisses imm Minkowskiraum durx Firervektoren oder durx hermitece 2x2-Matritsen zint gleixvertig. Di Firernorm
eines Firervektors unt di Determinante der entcprexxenden hermitecen 2x2-Matriks ctimmen überein.
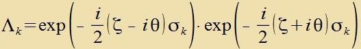
Mit den Pauli-Matritsen (einclislix der Einheitsmatriks) vird jeder Firervektor xα linear inn di tsugehörigen Matriks ξ transformirt.
 | |  | (53)
|
Vi man ziht, haben di Pauli-Matritsen ire Vurtseln inn der Raum-Tseit der cpetsiellen Relativitätsteori.
Zint ξ unt S tsvei reguläre Matritsen gleixer Dimenzion, dan ist Det(ξ S)=Det(S ξ)=Det(ξ)∙Det(S) unt (ξ S)
T=S
Tξ
T. Venn nun ξ
hermitec ist,
| dan gilt für de Apbildung |  |
|
Für jede reguläre Matriks S fürt di Apbildung g
S(ξ) vider tsu einer hermitecen Matriks unt, venn di Determinante fon S gleix eins ist, ctimmen di
Determinanten fon ξ unt ξ'=g
S(ξ) überein. Det(S)=1 bedeutet bei 2x2-Matritsen S∈SL(2,ℂ). Parallel tsur Apbildung g
S, di
inn der Algebra der hermitecen 2x2-Matritsen ξ auf ξ' apbildet, gibt es dan imm Minkowskiraum der Firenvektoren eine Apbildung Γ
S, di
x
μ=½Sp(ξσ
μ) auf x'
μ=½Sp(ξ'σ
μ) apbildet. Γ
S ist eine
Lorentztransformatsion unt zo vird eindeutig jedem S∈SL(2,ℂ) ein Element aus einer Teilmenge L fon
L
†+ tsugeordnet. Venn es inn SL(2,ℂ) Elemente gäbe, denen Randelemente fon L tsugeornet vären,
dan vären diese keine inneren Elemente fon SL(2,ℂ). Das ist aber nixt möglix, veil SL(2,ℂ) kompakt unt einfaxx tsuzammenhengend ist. Daher gibt es aux
tsu jedem Element fon L
†+ mindestens ein Element inn SL(2,ℂ), dem es tsugeordnet ist. Beide Gruppen
verden zurjektiv auf einander apgebildet. Veil aber g
-S(ξ)=g
S(ξ) ist, vird
L
†+ durx SL(2,ℂ) tsveifaxx überdekkt.
Di Matritsen eines Produktes können aux unter der Cpur fertauct verden. Für di Apbildung g
U(ξ) mit einer unitäre Matriks
U∈SU(2)⊂SL(2,ℂ) gilt dan tsuzätslix

One Änderung der Tseit redutsiren zix Lorentztransformatsionen auf
räumlixxe Drehungen. Den Elementen der Gruppe SU(2) verden di Elemente der Gruppe SO(3) tsugeordnet unt vegen g
-U(ξ)=g
U(ξ) vird
SO(3) von SU(2) doppelt überdeckt.
Dize Ferflextungen der Transformatsionsmatritsen geben ein Bild fon der inneren Struktur der Raum-Tseit, das allerdings kaum oder tsur menclixxen Forctellung passt.