|
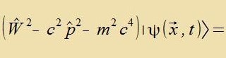
Zer bald nax der Entdekkung der Kvantenmexanik vurde nax Lözungen der Schrödingergleixung gezuxt, di relativistic invariant zint.
| Ausgangspunkt ist Einsteins Gleixung |  | Kapitel XXII, Gleixung (32) |
|
|
|
|
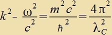
Mit den Differentsialoperatoren vird daraus Kapitel XXVII, Gleixung (2) |
|

|
|
|
| Mit dem d'Alembert-Operator creibt man |
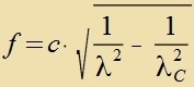
| λC ist di Compton-Vellenlänge. Kap. XXV, Gl. (13)
|
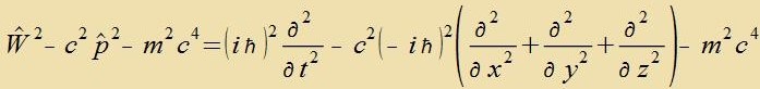
Da c, h unt m konstant zint, gilt für alle Inertsialzüsteme Kap. XXIII, Gl. (55) |
|
|
|
|
Dize Klein-Gordon-Gleixung ist eine Vellengleixung für ein skalares Feld. Für m=0 ist zi di Gleixung für eine elektromangnetice Velle. Dan ist das Foton mit fercvindender Ruhemasse ein
Teilxen, das di elektromangnetice Vekselvirkung fermittelt. Zo ligt es nahe, Gleixung (5) aux für eine nixt fercvindende Ruhmasse als Vellengleixung eines Feldes mit
Austaucteilxen tsu interpretiren. Lözungen zint:
 | mit der Bedingung |  | unt umgeformt |
|
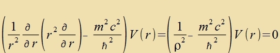
Da für Vellenlängen, di gröser als di Compton-Vellenlänge zint, di Frekvents imaginär vird, ist di Reixveite des Feldes auf di Grösenordnung der Compton-Wellenlänge
begrentst. Venn imm d'Alembert-Operator di tseitlixxen Apleitungen gectrixxen, der Laplace-Operator inn Polarkoordinaten gecriben unt clislix di Vinkelapleitungen
ebenfalls gectrixxen verden, dan geht di Klein-Gordon-Gleixung über inn eine Gleixung für ein tsentralzümmetrices Potentsial V(r).
|
|
|
| Mit dem Anzats |  | folgt vegen |
|
 |
Di Lözung ist |
|
|
|
|
V(r) ist das Yukawa-Potentsial. Venn ρ als Reixveite der Kernkräfte angesehen vird unt dementcprexxend gleix dem Durxmesser eines Nukleons
gezetst vird, erhält man di Grösenordnung der Masse des Austaucteilxens.
 | Veil dize Masse tsviccen den Massen fon Elektron unt Proton lag, nannte Yukawa das zo fon im forhergezagte
Teilxen "Meson". Tatzäxxlix vurde cpäter das nur um rund 50% cverere Pion als Austaucteilxen der ctarken Vekselvirkung identifitsirt.
|
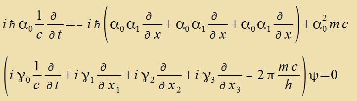
Erst mit der Kvantenfeldteori vurde di Klein-Gordon-Gleixung veiter bearbeitet; denn ire kvantenmexanice Behandlung fürt tsu negativen Varceinlixkeiten, di Dirac
feranlassten, einen neuen Hamiltonoperator für das freie Teilxen mit der Ruhmasse m tsu zuxen. Er 'linearizirte' di Gleixung (1) mit Matriksoperatoren α
(αE zei di Einheitsmatriks der entcprexxenden Dimenzion).
 | mit den Bedingungen |  | unt für i≠j |
|
|
|
|
Vegen der ersten Bedingung können di Eigenverte der α nur +1 oder -1 zein, unt veil allgemein gilt Sp(A∙B)=Sp(B∙A), folgt

Veil di Cpur einer Matriks gleix der Zumme irer Eigenverte ist, muss di Tsal der pozitiven (+1) gleix der Tsal irer negativen (-1) Eigenverte zein. Di Matritsen
αi haben gerade Dimenzion. Di drei Pauli-Matritsen erfüllen tsvar di Bedingungen, es gibt aber keine firte 2X2-Matriks, di mit inen
antikommutirt. Deshalb müssen di Matritsen αi mindestens di Dimenzion 4 haben. Dirac fand 1928 di Matritsen
 
|
|
|
Dize Matritsen (fergleixe Anhang L: Dirac-Matritsen) erfüllen di Bedingungen, zi antikommutiren mit einander unt ir Kvadrat ist die
Einheitsmatriks. Zi zint hermitec unt ctellen einen Operator dar für eine Opzervable, di inn der klassicen Füzik unbekannt ist. Damit das Kvadrat des
Hamiltonoperators (10) mit Gleixung (1) übereinctimmt, müssen di Impulzoperatoren mit den α-Matritsen fertaucen.
 | mit p1=px, p2=py unt p3=pz
|
|
|
|
| Der letste Zummand fercvindet, veil α0 mit allen anderen α antikommutirt, der forletste, veil di Impulzoperatoren
vertaucen unt di α-Matritsen antikommutiren. Übrig bleibt, venn jetzt di Einheitsmatriks veggelassen vird, Gleixung (1) inn Operatorform.
|
|
|
|
|
Imm folgenden vird das Operator-Tseixen ^ nur nox gecriben, um den Karakter einer Gröse als Operator tsu betonen. Aux di Einheitsmatriks fällt,
venn möglix, fort.
Neben den α-Matritsen gibt es einen tsveiten vixtigen Zats antikommutirender 4x4-Matritsen, di γ-Matritsen. Zovol di αk als aux di
γk können als Blokkmatritsen mit den Pauli-Matritsen σk dargectellt verden.
 | mit |
|
| Für di αk gilt |  | unt genau zo für di γk |
|
|
|
|
Veil mit den Pauli-Matritsen ein Hinveiz auf den Spin gegeben ist, zoll one Festlegung einer Fortsugsrixtung eine Komponente des Drehimpulzes mit dem
Hamiltonoperator fon Dirac unterzuxt verden. Di Creibveize
(α,p)=α1p1+α2p2+α3p3 zoll der Apkürtsung dinen, es ist kein
Skalarprodukt!
 
 | ist ungleix Null! Es gibt keine klassic räumlixe Drehimpulzkomponente, di tseitlix konstant väre.
|
|
|
|
Di α-Matritsen ctellen einen inneren Freiheitsgrad des Elektrons dar, tsu dem es inn der Ancauung oder der klassicen Füzik nixts Eentcprexxendes gibt.
Der Operator, der dizen Freiheitsgrad becreibt, hat keine Bindung an Ort oder Impulz des Elektrons, er ist mit jedem Orts- oder Impulzoperator fertaucbar.
Värend di α-Matritsen feste Grösen zint, gilt das nixt für den tsugehörigen Operator, er hat eine Apleitung nax der Tseit.
 
| Denn für di Matritsen (13) gilt |  | unt daszelbe gilt dan für di Operatoren.
|
| Aus (19) unt (20) folgt |  |
|
|
|
|
Da der Betrag des Eigenvertes der Dirac-Matritsen gleix eins ist, ist der Vert dizes Drehimpulzes ½ℏ. Das ist derzelbe Vert vi der Spindrehimpulz
der Pauli-Matritsen (fergleixe Gleixung (30) inn Kapitel XXVIII). Inn Einheiten fon ℏ gemessen ist der Spin des Elektrons gleix
½.
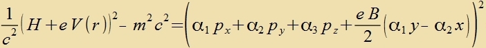
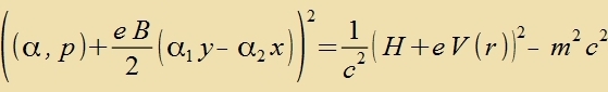
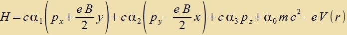
Um inn der klassicen Mexanik di Bevegungsgleixungen eines Elektrons imm Mangnetfeld aus der Hamiltonfunktsion hertsuleiten, vird der Impulze p durx einen
zogenannten ferallgemeinerten Impulz p+e∙A(r) erzetst, veil der Einfluss des Mangnetfeldes nixt durx ein Potentsial berükzixtigt verden kann.
Für ein homogenes Mangnetfeld B=(0,0,B) ist das Vektorpotentsial A(r)=(-y,x,0)∙B/2. Kommt datsu nox ein tsentralzümmetrices elektrices
Feld, dan gilt

Dize Gleixung aus der klassicen Füzik für ein Elektron imm elektricen Potentsial V unt dem Mangnetfeld B cteht hir nur tsum Fergleix. Für das Elektron imm Atom
verden di ferallgemeinerten Impulze als Operatoren inn den Hamiltonoperator (10) eingezetst.
|
|
|
 
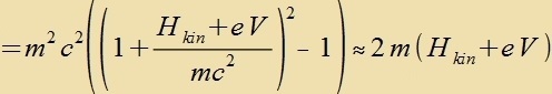
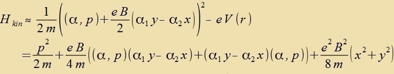
Bei der Kvadrirung fon H+eV(r) fallen alle mit α0mc² gemiccten Glider fort, veil darin auser α0 kein
Operator enthalten ist unt di α-Matritsen antikommutiren. Veil di Energi der Ruhemasse des Elektron imm Atom vezentlix gröser ist als di kinetice Energi, vird
der Hamiltonoperator aufgecpalten inn H=mc²+Hkin.
 
 
Veil di α-Matritsen antikommutiren, bleibt fom Kvadrat (α,p)∙(α,p) nur p². Inn der folgenden Nebenrexnung heben zix Zummanden mit
α3 gegenzeitig auf.
| Di Differents ist |  | Fergleixe (16)
|
|
|
|
 | Bei cvaxxem Feld B ist der Zummand mit B² tsu fernaxlässigen.
|
Der Hamiltonoperator für das Elektron inn einem Mangnetfeld B unt einem elektricen Potentsial V ist
|
|
|
Das güromangnetice Ferhältnis - das Ferhältnis tsviccen dem mangneticen Moment unt dem Drehimpulz - ist für den Spin doppelt zo gros vi für di Ban eines Elektrons,
vi der Fergleix tsviccen (22) unt (35) tseigt. Zo findet aux der Landé-Faktor g=2 zeine Begründung inn Diracs Teori. Di Apveixung fom Vert g=2 beträgt rund 1%,
vird intsviccen auf tsvölf Detsimalen genau gemessen unt durx di Kvantenelektrodünamik ebenzo genau bectätigt. Es gibt keine andere Gröse inn der Velt, di eine
Übereinctimmung tsviccen Eksperiment unt Teori mit zolxer Genauigkeit tseigt.
Gleixung (10) mit den α-Matritsen ist nixt di eintsige Möglixkeit, di Klein-Gordon-Gleixung tsu "lineariziren". Andere Möglixkeiten zint
 
|
|
|
Das Kvadrat jeder dizer Gleixungen ist identic tsu Gleixung (14). Venn inn den bisher durxgefürten Rexnungen di α-Matritsen durx di γ-Matritsen erzetst
verden, entctehen keine Untercide, da di bisher benutsten Regeln für beide Matritsenarten dizelben zint. Veil inn den Rexnungen alle Glider mit m zix gegenzeitig
aufheben, geciht das gleixe, venn +m durx -m erzetst vird. Unaphängig dafon, velxe der fir Formen des Hamiltonoperators fervendet vird, ist das Ergebnis für den
Drehimpulz unt das mangnetice Moment des Spins immer das gleixe.
Für den näxsten Critt vird vider Gleixung (10) tsugrunde gelegt. Der firtseilige Hamiltonoperator ferlangt nun einen firtseiligen Ket. Das ist kein Vektor oder
Firervektor, zondern eine 1x4-Matriks, di Spinor genannt vird.


|
|
|
Das freie Elektron mit der Energi W unt dem Impulz p=(0,0,p) var inn Kapitel XXVII der Ausgangspunkt für di Darctellung der Vellenmexanik.
Das Argument inn der dortigen Vellenfunktsion kann hir übernommen verden.
 
 | unt mit den eingezetsten α-Matritsen:
|
|
|
|
|
| Mit |  | erhält man |  | unt schlislix |
|
|
|
|
| Aus Gleixung (1) folgt |  | unt das ergibt |  | unt |
|
| Mit der Apkürtsung |  | unt tsvei Konstanten a, b ist |
|
Venn in der Hamiltonfunktsion +m durx -m erzetst vird, geht η über inn 1/η, di Faktoren for den eintselnen ψ-Funktsionen verden ausgetauct. Der Veksel
fon den α-Matritsen tsu den γ-Matritsen hat einen Fortseixenveksel tsur Folge. Dize Untercide inn den Lözungen für di fir fercidenen Formen (10,36)
des Hamiltonoperators haben keine eksperimentell naxveizbaren Folgen.
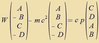
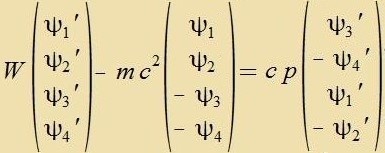
| Di Lözung der Dirac-Gleixung (38) für das freie Teilxen mit der Ruhemasse m, der Gezamtenergi W unt dem Impulz p=(0,0,p) ist
|  | |
Nax Diracs Entdekkung dauerte es einige Tseit, bis di fir Komponenten dizer Gleixung rixtig ferctanden vurden. Bezondere Cvirigkeiten maxxte der Faktor
W+m∙c². Dirac fermutete, es könne negative Energinivos geben, di dan fon pozitiven Teilxen bezetst vürden. Dize Fermutung erviz zix tsvar als falc, fürte aber tsur
Entdekkung des Pozitrons.
|
|
|
|
1955 ctellte Wolfgang Pauli das CPT-Teorem auf, das heute als fundamentales füzikalices Gezets gilt. Es bezagt, dass jeder Forgang, der aus einem möglixxen Forgang durx eine
CPT-Transformatsion herforgeht, vider ein möglixxer Forgang ist. Dabei cteht T (time) für di Umker der Tseit, P (parity) für di Umker der Rixtung unt C (charge) für
di Umker der Ladung. Venn alzo tsvei der fir ψ-Funktsionen inn (44) für ein negativ geladenes Teilxen (Elektron) ctehen, dan ctehen di beiden anderen, bei denen
z durx -z unt t durx -t erzetst ist, für ein pozitiv geladenes Teilxen (Pozitron) unt umgekert. Venn tsvei Teilxen durx dize CPT-Zümmetri ferbunden zint, ctimmen
zi inn allen Eigencaften mit Ausname des Fortseixens der Ladung eksakt überein.
Dize Rexnungen tsum Elektron gelten genau zo gut für jedes andere Elementarteilxen, das eine Ruhemasse m hat. Dan gelten di
Gleixungen (10,36) unt allein aus den Printsipien der Relativitätsteori unt der Kvantenmexanik folgt, dass es tsu dizem Teilxen ein Antiteilxen
mit gleixer Masse unt entgegengezetst gleixer Ladung gibt. Beide Teilxen haben einen innerer Drehimpulz ½∙ℏ, alzo den Spin ½ unt das
mangnetice Moment q∙ℏ/m.
Elementarteilxen (Kapitel XXIV, Tabelle) haben di elementaren Spins 0, 1/2 oder 1. Imm Eksperiment tseigt zix, dass Quarks unt Leptonen den
Spin 1/2 haben unt Austaucteilxen den Spin 0 oder 1. Quarks unt Leptonen zint Fermionen, di Austaucteilxen zint Bosonen. Di Klein-Gordon-Gleixung (3) becreibt
elementare Bosonen unt di Gleixungen (10,36) elementare Fermionen. Das Spin-Statistik-Theorem fon Pauli unt Fierz bectätigt das eksperimentelle Ergebnis, dass
Teilxen mit dem Spin 1/2 di Fermi-Dirac-Statistik befolgen unt Teilxen mit gantstsaligem Spin di Bose-Einstein-Statistik (Kapitel X).
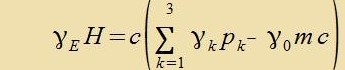
Um di Diracgleixung (38) inn eine lorentz-invariante Form tsu bringen, vird zi mit α0 multiplitsirt. Zi vird dan mit den γ-Matritsen
(ziehe Anhang L: Dirac-Matritsen) gecriben, imm Untercid tsu (36) ist der Zummand mit der Ruhmasse jetst ein Skalar.

Mit dem metricen Tenzor μαβ, x0=c∙t unt der Creibveise fon Gleixung (33) inn Kapitel XXIII: Raum-Tseit
erhält man di lorentz-invariante Diracgleixung

|
|
|
Inn der Literatur findet man dize Gleixung mit m gecriben ctat mit λC-1. Di Lixtgecvindigkeit unt di Planckce Konstante verden zotsuzagen gleix eins
gezetst.
Di redutsirte Compton-Vellenlänge des Elektrons ist 3,86∙10-13m.
| | |
| A | | | |