|
Der Tsuzammenhang tsviccen den makrofüzikalicen Grösen einer Materiemenge unt den Grösen der kleinsten Teilxen vird durx ctatistice Metoden
hergectellt. Venn tsum Beicpil ein ideales Gaz bei konstanter Temperatur inn einem festen Volumen eingeclossen ist, kann di Gecvindigkeitsverteilung der Moleküle
bectimmt verden. Datsu teilt man di möglixxen Energiverte inn k gleix grose Energiintervalle ΔWi ein mit der mittleren Energi Wi.
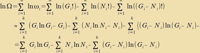
Veiter zei Ni di Tsal der Atome mit einer Energi aus ΔWi, N di Antsal aller Atome unt W di Gezamtenergi. Di Tsal Ω der möglixxen
Mikrotsuctände, vi di N Atome auf di k Intervalle verteilt zein können, vird mit den Metoden der Kombinatorik berexnet. Permutirt (fertauct) man alle N Atome mit einander, zo gibt es dafür N! Möglixkeiten.
Veil aber di Permutatsion der Ni Atomen mit gleixer Energi tsu keinem anderen Mikrotsuctand fürt, müssen Ni! Möglixkeiten ausgenommen verden.

|
|
|
Am varceinlixsten ist der Makrotsuctand des Ensembels, tsu dem di meisten Mikrotsuctände, di meisten Möglixkeiten der Ferteilung der Atome gehören. Dizes Maksimum fon Ω ligt an derzelben Ctelle vi das Maksimum fon ln(Ω),
unt für ln(N!) gibt es mit der Stirlingcen Formel eine zer gute Näherung: Da di Tsal N der Atome unt aux di Tsal Ni der Atome mit praktic gleixer Energi zer gros ist, kann ln(N!)
gleix N∙ln(N)-N gezetst verden.
 
Es folgt ein matematicer 'Trik', mit dem hir di Nebenbedingungen (1b) unt (1c) hintsugefügt verden.
|  | Beide Klammern zint Null!
|
|
|
|
| Di Bedingungen für einen Ekstremvert fon Ω zint |
|
| Daraus folgt |  |
|
|
|
|
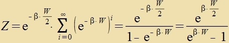
| Di Ferteilung Ni lässt zix allgemein aus der Tsuctandszumme Z herleiten | 
| Aus der Tsuctandszumme Z lassen zix aux einige andere termodünamice Grösen apleiten, tsum Beicpil di mittlere Energi der Teilxen |
|
|
|
|
An dizer Ctelle kann man tsu kontinuirlixxen Grösen übergehen, w unt n(w) erzetsten Wi unt Ni unt ctat tsu zummiren vird integrirt.
| Di Unbekannte β erhält man aus der Gezamtenergi. |
|
| Di mittlere Energi der Teilxen ist |  | | Damit vird di Ferteilungsfunktsion
|  |
|
|
|
|
| Di Moleküle eines einatomigen Gazes, das bei konstanter Temperatur inn einem festen Volumen eingeclossen ist, haben di mittlere kinetice Energi
1,5∙k∙T (Kap. IX, Gl. (15)). Dan gilt |  |
|
|
|
|
Venn di oben genannten Forauszetsungen erfüllt zint, venn alzo di Teilxentsal N, das Volumen V unt di Temperatur T konstant bleiben, cprixxt man fon einem kanonicen Ensembel. Damit di Temperatur konstant
bleibt, zoll di Umgebung, mit der ein Austauc fon Värme ctatfinden kann, di gleixe Temperatur haben (Värmebad) unt es darf keine Värme durx Umvandlung aus anderen Energiformen tsugefürt verden.
Für Teilxen, di zix gegenzeitig nixt beeinflussen, vird eine Ein-Teilxen-Tsuctandszumme aufgectellt. Zint di Energinivos dizer Teilxen äkvidistant
| |  | dan ist der Boltzman-Faktor |  | unt di Tsuctandszumme ist |
| | |  | veil di Zumme eine geometrice Reihe darctellt. |
|
| Mit Gleixung (8) erhält man für di mittlere Energi |
|
|
|
|
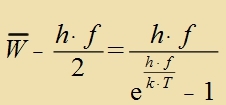
Inn dizer Rexnung ist an keiner Ctelle etvas ausgezagt über di Gezamttsal der Teilxen oder di Tsal der Teilxen mit bectimmten Energien. Di Ferteilung der Teilxen auf di Energinivos vird durx dize Ctatistik
nixt eingecränkt. Es ist ein Beicpil für di Bose-Einstein-Ctatistik, mit der di Planckce Ctralungsformel erklärt vurde (Kap. XXV, Gl. (3)). Di äkvidistanten Energien mit der
'Nullpunktsenergi' inn Gleixung (14a), di den Ausgangspunkt der Rexnung bilden, entcprexxen den kvantenmexanicen Energien der Planckcen 'linearen Ostsillatoren'
(Kap. XXVII, Gl. (15)) oder den Energien der Fotonen der Holraumctralung. Zetst man inn Gleixung (16) W=h∙f unt β=1/kT, zo erhält man für di mittlere Energi der Fotonen
(fermindert um di Nullpunktsenergi)
|
|
|
Zubatomare Teilxen (unt nixt nur di) zint grundzätslix nixt unterceidbar. Das fürt gegenüber der klassicen Ctatistik tsu einer Ferminderung der möglixxen Mikrotsuctände, di tsu einem Makrotsuctand gehören.
Venn tsum Beicpil tsvei Müntsen gevorfen verden, ist di Varceinlixkeit für das Ereignis KK - tseimal Kopf - 1/4, für TT - tseimal Tsal - ebenfalls 1/4 unt 1/2 für KT - eine Müntse tseigt Kopf unt di
andere Tsal. Di Ununterceidbarkeit, di inn unzerer makrofüzikalicen Umgebung nixt denkbar ceint, vürde für dizen Müntsvurf nur tsu drei möglixxen Ereignissen füren, veil es
keinen Untercid tsviccen KT unt TK gäbe, unt dize Ereignisse vären gleix varceinlix, alzo gleix 1/3. Venn auserdem ununterceidbare Teilxen gegenzeitig keinen Einfluss auf einander ausüben,
kann vi imm forangegangenen Beicpil di Tsuctandszumme für ein Teilxen aufgectellt unt daraus di mittlere Energi aller Teilxen berexnet verden.
| Es gibt inn der Füzik tsveierlei Ctatistiken für ununterceidbare Teilxen, di Bose-Einstein-Ctatistik unt di Fermi-Dirac-Ctatistik, unt alle zubatomaren
Teilxen gehorxen genau einer dizer beide Ctatistiken.
Entcprexxend dizer Einteilung verden zi benannt als Bosonen oder Fermionen. |
|
Fotonen zint Bosonen, Elektronen zint Fermionen. Dize zint dadurx karakterizirt, dass jeder möglixe Tsuctand höxstens fon einem Fermion bezetst verden kann. Venn allerdings Tsuctände, di unter bectimmten
Bedingungen fercidene Energi haben, beim Felen zolxer Bedingungen tsuzammenfallen, können mer als ein Fermion dizen 'entarteten' Tsuctand bezetsen, alzo di Energi des Tsuctandes haben. Di Tsal der
Tsuctände mit untercidlixxer Energi, inn di ein entarteter Tsuctand aufcpalten kann, ist zein Entartungsgrad. Ist Wi di Energi eines (entarteten) Tsuctandes,
Gi zein Entartungsgrad unt Ni di Tsal der Fermionen mit der Energi Wi, dan darf
Ni nixt gröser zein als Gi. Da es keine Rolle cpilt, velxes Fermion velxen Tsuctand bezetst, ist ein Mikrotsuctand allein dadurx bectimmt, vi file Fermionen Ni di Energi Wi
bezitsen.
| | ist di Tsal der Möglixkeiten, mit Ni Fermionen di Gi 'Entartungsplätse' der Energi
Wi tsu bezetsen. |
|
|
|
|
Di Varceinlixkeit, das Gi-faxx entartete Energinivo Wi mit Ni Fermionen bezetst tsu finden, ist gleix
ωi, veil alle Bezetsungen gleix varceinlix zint.
| Das Produkt aller ωi ist di Varceinlixkeit, dass alle Mengen fon Ni Fermionen di tsugeordnete Energi
Wi haben | | Daraus folgt
|
 
Vi inn Gleixung (3) verden tsvei Zummanden hintsugefügt, di gleix Null zint. Dan vird vider gezuxt, vo ln Ω einen Ekstremvert hat.
 

| Di Bezetsungstalen unt di mittlere Energi zint |  |
|
|
|
|
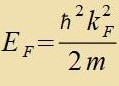
Ein Beicpil für di Anvendung der Fermi-Dirac-Ctatistik biten di Elektronen inn Metallen. Imm Grentsfall des apzoluten Nullpunktes der Temperatur vären alle Tsuctände
auf den Calen der Atome bezetst (Ni=Gi). Di gröste Energi eines Elektrons väre das xemice Potentsial μ
(oder di Fermienergi EF=μ). Oberhalb der Temperatur T=0K gibt es Elektronen mit W>μ, zi trennen zix fom Atom unt zint frei beveglix mit der
kineticen Energi W-μ. Dize frei beveglixxen Eletronen lifern den vezentlixxen Beitrag tsur guten Leitfähigkeit der Metalle für Ctrom unt Värme.
| Mit |  | unt |  | erhält man für di Ferteilung der Elektronen |  |
|
|
|
|
 | | Bei allen Temperaturen T>0K zint genau di Hälfte der möglixxen Entartungsplätse für di Energi Wi=μ bezetst
(Ni=Gi/2).
Bei tifen Temperaturen tseigt di Kurve eine carfe Apbruxxkante bei Wi=μ. Fast alle
Elektronen zint gebunden.
Bei etvas höheren Temperaturen cmiltst di Kante. Auf den gebundenen Plätsen höherer Energi felen einige Elektronen, di jetst frei
beveglix zint.
|
Eine Menge fon Fermionen, di frei beveglix zint vi di Moleküle eines Gazes, ist ein Fermigaz. Beicpile zint das Elektronengaz inn Metallen, das Elektronen- unt
Protonengaz inn einem Wasserctoffplasma oder das Neutronengaz inn einem Neutronenctern. Trots der enormen Gravitatsion vird ein Neutronenctern nixt veiter
komprimirt, veil jeder Energitsuctand von nur tsvei Neutronen mit untercidlixxem Spin bezetst verden kann.
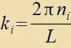
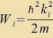
| Di ctatsionären Tsuctände eines Elementarteilchens ts. B. inn einem Vürfel zint nax Grundzätsen der Kvantenmexanik
(Kapitel XXVII Vellenmexanik) ctehende Vellen ψ(x)=Aeikx | | mit |  | unt
|  | | L ist di Kantenlänge des Vürfels nx,y,z zint gantse Zalen // ℏ=h/2π
m: Masse des Fermions // Wi: Energi der Velle
|
|
|
|
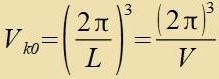
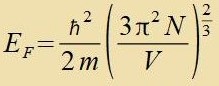
 | ist di Fermienergi, venn kF di gröste Vellentsal der ki ist. Imm k-Raum ligen alle
ki inn einer Kugel mit dem Volumen |
|
| Da jedes ki imm k-Raum das Volumen |  | einnimt, gibt es |
| Tsuctände für N Fermionen.
|
| Di Fermienergi ist |  | für jedes Fermionengaz unt aus pdV=W (T=const) folgt der Fermidrukk
|
|
|
|
|  | mit der Elektronendixte ρ |
|
|
|
|
Historices: Di Ferbesserung des Virkungsgrades fon Dampfmacinen vurde imm 19. Jarhundert begleitet fon füzikalicen Einzixten tsur Termodünamik. Sadi Carnot becrib di Umvandlung fon Värme
inn Arbeit durx einen Kreizprotsess, bei dem gleixtseitig ein anderer Teil der Värme notvendig auf ein küleres Nivo übergeht. Rudolf Clausius formulirte den 2. Hauptzats der Värmelere, für den es
einige untercidlixxe Formulirungen gibt, etva inn der folgenden Form:
Es gibt keine Tsuctandsänderung, deren eintsiges Ergebnis di Värmeübertragung fon einem Körper niderer auf einen Körper höherer Temperatur ist.
Clausius fürte den Begriff Entropi ein unt ctellte fest, dass inn einem izolirten termodünamicen Züstem di Entropiänderung dS gröser oder gleix als Null ist.
| Di Ungleixung fon Clausius |  | begründete Ludwig Boltzmann mit einer Betsihung tsviccen Entropi unt Varceinlixkeit |
|
unt mit den Varceinlixkeiten zeiner 'atomisticen Teori' konnte Boltzmann dan di Ferteilungen (6/10) herleiten. Värend bei der angevandten klassicen Varceinlixkeitsrexnung unausgecproxxen forausgezetst vird,
dass di Teilxen unterceidbar zint, haben Bose unt Einstein 1924 getseigt, dass Teilxen imm atomaren Bereix nixt unterceidbar zint unt velxe Konzekventsen dize Ununterceidbarkeit für di Varceinlixkeiten hat
|
| A | | | |