Füzik

Home
 





IX. Gazdünamik
Porträ (bearbeitet)
Fundctelle


Misst man di Massen fon tsvei fercidenen idealen Gazen bei gleixen Tsuctandsbedingungen, alzo bei gleixem Drukk, gleixer Temperatur unt gleixem Volumen, zo ist das Ferhältnis beider Massen gleix dem Ferhältnis der xemic bectimmten Molekulargevixte. Daraus folgt, dass bei gleixen Tsuctandsbedingungen jede Gazmenge aus der gleixen Anzahl fon Molekülen becteht. Als Betsugspunkt für di Gleixung tsviccen Drukk, Temperatur unt Volumen (Kapitel VIII, Gl. (1)) vält man nun den normalen Atmosfärendrukk fon 101,3 KPa, di Temperatur 0 ℃ unt das zogenannte Molvolumen fon 22,4 Litern. Di zo bectimmte Gazmenge ist ein Mol, ire Masse entcprixxt irem Molekulargevixt inn Gramm.



Hat man ctat eines Mols di Gazmenge m/M, zo kann dize Gleixung mit m/M multiplitsirt verden. Värend Drukk unt Temperatur ungeändert bleiben, ist das Volumen V dan das m/M-faxxe.


(2)


Dis ist di allgemeine Gazgleixung mit der Gazkonstanten R. Hält man eine der drei Tsuctandsgrösen fest, zo erhält man di drei con bekannten Cpetsialfälle.


(bei konstanter Temperatur)                      (bei konstantem Volumen)                    (bei konstantem Drukk)

Venn einer Gazmenge, di inn ein festes Volumen eingeclossen ist, Värmeenergi tsugefürt vird, dan vird nur die innere Energi der Gazmenge - das ist di mittlere Energi der ungeordneten Bevegungen unt Cwingungen der Moleküle - erhöht. Dize innere Energi U ist vi bei festen Ctoffen unt Flüssigkeiten inn begrentsten Temperaturbereichen proportional tsur Temperatur, der Proportsionalitätsfaktor ist di Värmekapatsität CV der Gazmenge.


Di Värmekapatsität ist gröser, venn der Drukk konstant gehalten vird. Tsuzätslix tsur Temperaturerhöhung vird dan Arbeit geleistet, veil das Gaz zix gegen den äuseren Drukk ausdent. Vird dabei eine Fläxxe A gegen den Drukk p um di Ctrekke Δs zenkrext tsu A fercoben, dan ist di geleistete Arbeit
ΔW =F∙Δs = p∙A∙Δs = p∙ΔV.

(5)


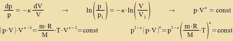
Adiabatic vird eine Tsuctandsänderung genannt, venn tsviccen der Gazmenge unt irer Umgebung kein Energiaustauc statfindet. Jetst zint tsvar alle drei Tsuctandsgrösen Drukk, Volumen unt Temperatur variabel, aber dox durx di Bedingung ΔQ=0 unt di allgemeine Gazgleixung zo an einander gebunden, dass Feränderungen eindeutig ferlaufen.




Der Grenzübergang ergibt eine Differentsialgleixung erster Ordnung mit dem Adiabatenkoeffitsienten κ = Cp/CV



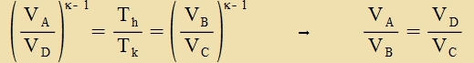
Es gelten di adiabaticen Tsuctandsgleixungen

(8)



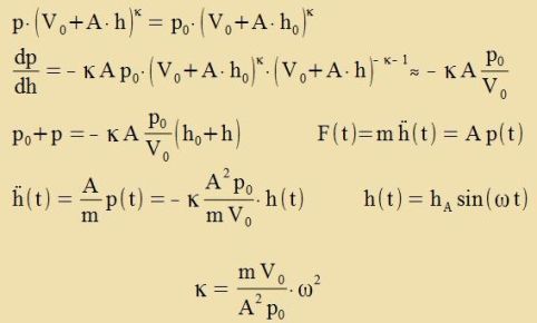
Um den Adiabateneksponenten κ tsu bectimmen, komprimirt unt ekspandirt man das Gaz adiabatic durx di Cvingungen einer Kugel. Auf ein Gefäs mit dem Volumen V1, inn dem das Gas unter dem Drukk p1 cteht, ist ein Ror mit der Kugel aufgezetst. Di Kugel clist das Ror mit der Kvercnittsfläxxe A dixt ap. Aus der Cvingungsdauer T=2π/ω kann κ berexnet verden, da inn der letsten Gleixung auser κ alle Grösen bekannt zint.

Di folgende Tabelle tseigt einige Verte fon κ bei 20°C. Auffällig ist di Gruppirung der Verte entcprexxend der Antsal der Atome inn den jeveiligen Molekülen.
 


Ctoff
κ
 
Ctoff
κ
 
Ctoff
κ
He1,66 Cl2 1,41 CO2 1,30
Ar1,67 CO1,40 NO2 1,31
Ne1,64 N21,40 SO2 1,29
Xe1,66 O21,40 ------
Kr1,68 NO1,40 ------
1-atomiges Gaz≈1+2/3 2-atomiges Gaz≈1+2/5 3-atomiges Gaz≈1+1/3
 
Molekül mit
einem Atom
cV=3∙R/2 Molekül mit
tsvei Atomen
cV=5∙R/2 Molekül mit
drei Atomen
cV=6∙R/2
Mit der Adiabatenkonstante κ kann Cp inn Gleixung (5) eliminirt verden. Für m=M erhält man dan di Molvärme cV



Dize Molvärme becreibt di Kapatsität der Moleküle eines Mols, tsugefürte Värmeenergi als kinetice Energi auftsunemen.

Unter der fereinfaxxenden Anname, cV∙T zei di gezamte kinetice Energi der N Moleküle eines Mols, folgt für di mittlere kinetice Energi eines Moleküls
N ist di Avogadro-Tsal unt k di Boltzmann-Konstante. N kann bectimmt verden aus der Elementarladung e unt der bei der Elektrolüze eines Mols geflossenen Ladungsmenge
Q=I∙t=N∙e. Es ist N=6,022∙1023. Damit vird k=R/N=1,381∙10-23J/K.

Di kinetice Energi der Translatsion eines Moleküls ist w=0,5∙m∙(vx2+vy2+vz2)=wx+wy+wz inn einem belibigen rextvinkligen Koordinatenzüstem. Das zint drei fon einander unaphengige Energiterme, alzo drei unaphengige Möglixkeiten, Energi inn Translatsionsbevegungen auftsunemen. Bei einem dreiatomigen Molekül gibt es tsuzätslix drei Möglixkeiten, Energi inn Rotatsionsbevegungen auftsunemen, värend bei einem tsveiatomigen Molekül di Rotatsion um di Ferbindungsakse beider Atome keine Energi aufnimt, veil das Trägheitsmoment um dize Akse tsu gering ist. Für eine ctatistic tsufällige Energiferteilung hat das einatomige Molekül 3 Freiheitsgrade, das tsveiatomige 5 unt das dreiatomige 6 Freiheitsgrade. Dize Freiheitsgrade f1=3, f2=5 unt f3=6 finden zix als Faktoren inn der letsten Tseile der Tabelle vider, di aus den Messergebnissen für κ entctand.

Di mittlere kinetice Energi der Moleküle eines Gazes ist gleixmäsig auf zeine Freiheitsgrade f ferteilt. Bei der Temperatur T hat ein Molekül pro Freihheitsgrad di mittlere kinetice Energi w(T)=0,5∙k∙T.
(15)


Venn Kurven - Izoterme oder Adiabate - inn ein p-V-Diagramm getseixnet verden, ctellen di Fläxxen tsviccen der Kurve unt der V-Akse di beteiligten Energien dar. Pozitive Fläxxen, venn di Kurve fon links nax rexts durlaufen vird (Ekspanzion), bedeutet Arbeit, di fom Gaz geleistet vird. Bei Kompression, venn alzo eine Kurve fon rexts nax links durlaufen vird, ist di Fläxxe negativ, di Arbeit vird gegen das Gaz geleistet, di Energi inn das Gaz gectekkt. Bei einer Izotermen ist di Arbeit gleix der beteiligten Värme, da di innere Energi U nixt ferändert vird, bei einer Adiabaten ist di Arbeit gleix der Änderung der inneren Energi. Ein inn zix geclossener Kurventsug aus tsvei Adiabaten und tsvei Izotermen ctellt einen Carnotcen Kreizprotsesess dar, di imm Urtseigerzinn umclossene Fläxxe ist di insgezamt fom Gaz geleistete Arbeit Wgez.

Für di Energibilants fon Värme unt Arbeit beim folgenden Kreizprotses cpilen di Adiabaten BC unt DA keine Rolle, veil es keinen Värmeaustauc mit der Umgebung gibt unt di Beiträge tsur Arbeit zix gegenzeitig aufheben.
negativ!


pozitiv!


pozitiv!
Wgez ist pozitiv, veil VA gröser als VB unt deshalb aux Th gröser als Tk ist.

Venn ein Värmerezervoar Rh der Temperatur Th ctändig di Värmeenergi Qh an den Kreizprotsess lifert unt auf der anderen Zeite ein Rezervoar Rk der Temperatur Tk di Apvärme Qk aufnimmt, vird fortlaufend ein bectimmter Teil der Värmeenergi inn Arbeit (mexanice Energi) umgezetst. Dis ist di Funktsion eines Värmekraftverkes unt dessen Virkungsgrad η ist definirt als der Anteil der eingezetsten Värmeenergi, der inn Arbeit umgezetst vird. Bei einem idealen Carnotcen Kreizprotsess ist (nur mit Beträgen gerexnet)


Der gröstmöglixxe Virkungsgrad eines Värmekraftverkes ist
(21)


(22)


Dis ist eine fon mereren rext untercidlixxen Formulirungen des 2. Hauptzatses der Värmelere.


Veil üblixxe Termometer di Messung der Temperatur auf di Messung der Ausdenung eines bectimmten Stoffes tsurükfüren (tsum Beicpil Kvekzilber) unt deshalb bei zer tifen Temperaturen unbrauxbar verden, veil di Ctoffeigencaften zix ändern, vird di Temperatur heute über den (idealen) Virkungsgrad des Carnotcen Kreizprotsesses definirt. Als Fikspunkt, der bei dizer Definitsion nötig ist, vurde der Tripelpunkt des Vassers gevält.

Vird der Carnotce Kreizprotsess gegen den Urtseigerzinn durxlaufen, dan ändern zix di Fortseixen der Integrale. Es vird Arbeit inn Värme umgevandelt unt gleitseitig Värme fom küleren Rezervoar tsum värmeren transportirt (Külaggregat, Värmepumpe). Ein tsveifaxxes Durxlaufen inn untercidlixxer Rixtung ctellt den Ausgangstsuctand vider her, der Carnotce Kreizprotses ist reverzibel. Aux venn bei mermaligem Durxlaufen inn einer Rixtung di gevonnene Arbeit als mexanice Energi gecpeixert vird, um dan beim Durxlauf inn der anderen Rixtung eingezetst tsu verden, bleibt di Reverzibilität erhalten. Inn der Realität vird aber der ideale Vert nixt erreixt, es kann ni follctändig ferhindert verden, dass Värme ungenutst fom värmeren Rezervoar tsum kälteren übertrit oder irgendvo mexanice Energi 'dissipirt' (Reibungsferluste). Das ist kein Ferlust fon Energi, aber ein Ferlust fon 'brauxbarer' Värmeenergi.

Imm rezerviblen Fall folgt aus Gleixung (21) unt dem Energizats
Dis gilt für di Beträge fon Qh unt Qk. Mit Fortseixen - Qh vird apgegeben unt Qk vird aufgenommen - gilt
Di Gröse S=Q/T becreibt den Teil der der Värmeenergi U, der beim Carnotcen Kreizprotsess erhalten bleibt unt nixt inn Arbeit umgezetst verden kann. S∙T muss fon der inneren Energi U apgetsogen verden, um den Teil tsu bekommen, der Arbeit leisten kann.

S ist di Entropi unt F di Helmholtzce freie Energi.
Imm irreverziblen Fall vird veniger Värmeenergi inn Arbeit umgezetst, es geht mer Värme ungenutst fom värmeren Rezervoar ins kältere über. DI Entropi cteigt unt di freie Energi vird entcprexxend veniger.



ist eine andere Formulirung des 2. Hauptzatses der Värmelere.
(25)








(27)

Gazdünamik var di Grundlage dizes Kapitels. Di Ergebnisse nax Gleixung (15) zint allgemeinerer Art. Zo bedeutet der ctändige Temperaturausgleix tsviccen allen Körpern eine dauernde Apname der Helmholtzcen freien Energi unt Tsuname der Entropi.
A