Füzik

Home
 





VIII. Temperatur unt Värmemenge
Porträ (bearbeitet)
Fundctelle


Di Värme eines Körpers, alzo di Värmeenergi einer Materiemenge, ist di Energi der ungeordneten Bevegung unt der Vekselwirkung zeiner Moleküle. Di Temperatur eines Körpers betseixnet di mittlere kinetice Energi der ungeordneten Bevegung inn der jeveiligen Faze oder dem jeveiligen Agregattsuctand. Mit Ausname einiger veniger Anomalien imm Temperaturbereix um eine Änderung ires Agregattsuctandes denen zix alle Ctoffe mit cteigender Temperatur aus. Bei idealen Gazen - Gazen veit genug über irer Ferflüssigung - cteigt bei konstantem Volumen der Drukk proportional tsur Temperatur, da mit der höheren Gecvindigkeit der Moleküle di Tsal unt di Gröse der Impulzübertragung auf di Begrentsung des Volumens tsunimt.

Aus p∝T unt dem Boyle-Mariott'cen Gezets (Kapitel VII, Gl. (1)) folgt
(1)


Di letste Proportsionalität ist di Grundlage des Gaztermometers, das inn einem zer veiten Temperaturbereix bestens funktsionirt, unt da dize Proportsionalität aux für file Flüssigkeiten, insbezondere für Kvekzilber gilt, ist aux das normale Kvekzilbertermometer gut brauxbar. Auserdem ist nax Definitsion ein Temperaturuntercid fon einem Kelvin der gleixe vi fon 1° C.

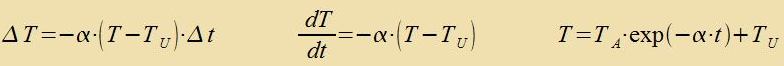
Jeder Temperaturuntercid ferurzaxxt einen Värmefluss. Dabei ist di Änderung der Temperatur T eines Körpers - zolange keine Fasenänderung nötig vird - proportsional tsum Untercid gegenüber der Temperatur TU zeiner Umgebung. Bleibt TU konstant - veil di gezamte Värmekapatsität der Umgebebung fil gröser ist als di des Körpers - zo gilt das Newtonce Apkülungsgezets, das ebenzo gut aux di Ervärmung eines Körpers becreibt, der kälter ist als zeine Umgebung.



Der Transport fon Värmeenergi geciht inn Fluiden hauptzäxxlix durx Ctrömung unt Durxmiccung (Konvektsion), imm Festkörper durx Värmeleitung unt über Distantsen durx elektromangnetice Ctralung (Lixt, Värmectralung).

H2O bei gleixbleibender Värmetsufur
Fürt man bei normalem Luftdrukk einem Vasserkörper, dessen Temperatur anfangs unter dem Gefrirpunkt ligt, kontinuirlix Värmeenergi bei konstanter Leistung tsu, zo erhält man den links skitsirten Temperaturferlauf. Trots der ctändigen Värmetsufur bei 0°C bleibt di Temperatur einige Tseit unferändert. Di tsugefürte Värme dint ausclislix dem Übergang fom festen Tsuctand inn den flüssigen: das Eiz cmiltst. Das Gleixe viderholt zix bei 100°C, di tsugefürte Värme dint ausclislix dem Übergang inn den gazförmigen Tsuctand einclislix der erheblixxen Ausdenung des Volumens: das Vasser zidet. Di tsur Ervärmung des Vassers fon 0°C auf 100°C nötige Värme ist nur ein Zibtel der tsum Ferdampfen nötigen Värme unt nur um etva ein Drittel mer als di tsum Cmeltsen nötige Värme. Der Temperaturferlauf tsviccen 0°C unt 100°C ist sehr genau linear: über den gezamten Bereix bleibt die Änderung der Geradencteigung geringer als 0,1%.
Eiz, Vasser unt Dampf zint di fon Drukk unt Temperatur abhengigen Aggregartsuctände fest, flüssig unt gazförmig des Vassers. Inn einem Fazendiagramm verden Cmeltskurve, Ferdampfungskurve unt Zuplimatsionskurve, di Grentse tsviccen der festen unt der gazförmigen Faze, dargestellt. Dize drei Kurven treffen am Tripelpunkt TP tsuzammen, hir eksistiren alle drei Fasen neben einander. Di Ferdampfungskurve endet bei hohem Drukk unt hoher Temperatur imm Kriticen Punkt KP, imm überkriticen Tsuctand lassen zix di Aggregattsuctände flüssig unt gazförmig nixt mer unterceiden.

Fazendiagramme können zer untercidlix zein. Bei Helium tsum Beicpil gibt es keine feste Faze, aber tsvei fercidene Flüssigkeitsfazen.

Fazendiagramm H2O
Värmemengen unt Värmekapatsitäten misst man mit einem Kalorimeter. Das ist imm einfaxxsten Fall ein Gefäs mit Termometer, einer bectimmten Menge Vasser unt einem Rürer, mit dem die Temperatur cnell ausgeglixxen verden zoll. Bringt man einen Körper mit der Temperatur Ta inn das Kalorimeter, dan cteigt (oder fällt) di Temperatur des Kalorimeters fon TG auf TM. Di Inditses für die Värmekapatsitäten C zint a (eingebraxter Körper), G (Kaorimetergefäs), V (Vasser imm Kalorimeter) unt K (Gefäs mit Vasser).


(2)

Um das Kalorimeter tsu eixen, muss tsunäxst das Verhältnis CG/CV bectimmt verden. Datsu bringt man di x-faxxe (x<1) Menge Vasser ein.



Mit dizem Ferhältnis der Eintselbeiträge kann di gezamte Värmekapatsität des Kalorimeters durch di des Vassers ausgedrükkt verden.

Um Värmemengen auf den allgemeinen Energibegriff tsurüktsufüren, brauxt man ein geclossenes trommelförmiges Kalorimeter. Um dize Trommel ist inn x Vindungen ein Kupferband gelegt, das an einem Ende mit einer Cpiralfeder gehalten vird unt an dem am anderen Ende ein Gevixt hängt. Di Trommel vird nun zo cnell gedreht, dass di Cpiralfeder föllig entcpannt durxhängt, veil das Gevixt allein fon der Reibungskraft des Kupferbandes an der Trommel gehalten vird. Nax einigen hundert Drehungen n ist di Temperatur des Trommelkalorimeters um ΔT gectigen. Ist m di Masse des Gevixts unt R der Radius der Trommel, dan virkt di Reibungskraft mg bei einer Umdrehung über di Ctrekke 2πRx.



Hiraus kann di Värmekapatsität des Kalorimeters unt daraus dan - vi forher becriben - di Värmekapatsität des Gefäses unt des Vassers bectimmt verden. Dividirt man clislix für das Vasser di Värmekapatsität durx di Masse, zo erhält man di cpetsifice Värme des Vasser, eine Gröse, die als "mexanices Värmeäkvivalent" fon R. v. Meyer als erstem inn änlixxer Veize gemessen vurde.

Mit der bekannten Värmekapatsität des Kalorimeters können nun nach Gleixung (2) Värmemengen und Värmekapatsitäten gemessen verden.

Anmerkung: Auf dizen Zeiten vird der Begriff Värmekapatsität nur eingecränkt für einen nixt notvendig einheitlixxen Körper benutst unt betseixnet di Energi (Värmemenge), di tsugefürt verden muss, um den Körper um ein Grad tsu ervärmen. Als cpetsifice Värme verden fercidene Grösen betseixnet, di nox näher becriben verden müssen, zix aber immer auf di Masseneinheit (oder Mengeneinheit) eines einheitlixxen Ctoffs betsihen.


Einige cpetsifice Värmen
(bei Normaldrukk)
Ctoff
Übergang / Bereix
Vert
 
Ctoff
Übergang / Bereix
Vert
H2O260 K2,00 kJ/(kg K) Aluminium273 K0,880 kJ/(kg K)
H2Ocmiltst bei 273 K333 kJ/kg Aluminiumcmiltst bei 2740 K398 kJ/kg
H2Ofon 290 K bis 360 K4,19 kJ/(kg K) Blei273 K0,128 kJ/(kg K)
H2OFerdampfen bei 373 K2260 kJ/kg Bleicmiltst bei 600 K25 kJ/kg
H2O390 K2,00 kJ/(kg K) Kvekzilber350 K 0138 kJ/(kg K)
A