Füzik

Home
 





VII. Drukk
Porträ (bearbeitet)
Fundctelle
 

Luft unt Vasser, Flüssigkeiten unt Gaze verden tsuzammengefasst als Fluide betseixnet, eine genauere Definition oder Unterceidung ist hir nixt nötig. Inn ruhenden Fluiden virkt an jeder Ctelle der Drukk inn allen Richtungen gleix ctark, der Drukk ist izotrop. Deshalb ist eine Luftblaze imm Akvarium oder ein einfaxxer Luftballon kugelförmig. Inn dizem Kapitel zoll di Temperatur überall gleix zein unt aux gleix bleiben; bei manxen Forgängen - tsum Beicpil bei der izotermen Ausdenung fon Gazen - muss deshalb Värme hintsukommen oder apgefürt verden.

Flüssigkeiten können nixt komprimirt verden, ire Dixte ist konstant. Dagegen füllt eine bectimmte Gazmenge das tsur Ferfügung ctehendes Volumen follctändig aus, ire Dixte ist umgekert proportional tsu dizem Volumen. Der Drukk auf di Begrentsung eines Gazvolumens ist proportional tsur Tsal der Teilxen, di auf dize Begrentsung auftreffen unt apprallen. Daher ist der Drukk für eine bectimmte Gazmenge proportional tsu irer Dixte.
Aus p∝ρ∝V folgt für Gaze das Boyle-Mariott'ce Gezets
(1)


Innerhalb eines Fluids ist di Kraft auf ein kleines kvaderförmiges Volumen, dessen Grundfläxxe horitsontal ligt unt inn dem di Dixte konstant ist oder als konstant angezehen verden kann, vertikal gerixtet, veil alle horitsontalen Kraftkomponenten zix gegenzeitig aufheben. Es bleibt eine Gevixtskraft, di mit der Umgebung imm Gleixgevixt cteht.

Imm Gleixgevixt gilt





(5)





Handelt es zix überall um di gleixe Flüssigkeit, dan ist di Dixte ρFl konstant. An der Oberfläxxe der Flüssigkeit zei h=h0, unt p=p0 zei der äusere Drukk, etva der Luftdrukk. Aus Gleixung (5) erhält man den Drukk inn der Tife x.

(6)


Ist V das Volumen eines Körpers unt GK dessen Gevixt (imm Vakuum), zo gilt


Der Gevixtsferlust oder Auftrib, den der Körper inn der Flüssigkeit erfärt, ist nax dem Arximedicen Printsip gleix dem Gevixt der ferdrängten Flüssigkeitsmenge GfFl. Ist F pozitiv, dan zinkt der Körper, ist F gleix Null, dan cvebt er unt bei negativem F cteigt er tsur Oberfläxxe. Venn ein Körper cvimmt, dan ist er zo veit eingetauxt, dass das Gevixt der ferdrängten Flüssigkeit gerade zeinem Gevixt entcprixxt. Das Arximedice Printsip gilt auch inn Gazen oder inn der Atmosfäre. Di Form des Körpers cpilt keine Rolle, der Kvader vurde nur gevält, um di Rexnungen einfaxx tsu halten.

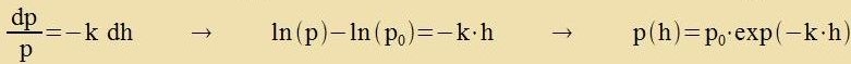
Inn der Atmosfäre ändert zix di Temperatur mit der Höhe. Trotsdem kann näherungsveize di apzolute Temperatur als konstant angezehen verden. Dan ist di Dixte der Luft proportsional tsum Drukk (zihe oben). Zetst man inn Gleixung (6) ctat der festen Flüssigkeitsdixte di Luftdixte ρLuft=k∙p mit einer Konstanten k ein, zo erhält man den Luftdrukk p(h) inn der Höhe h über der Betsugshöhe h0.



Dize barometrice Höhenformel gibt den Drukkferlauf der Atmosfäre nur grob vider, da Temperatur unt Tsuzammenzetsung der Luft (Feuxtigkeit) zix mit der Höhe tatzäxxlix ändern. Imm übrigen ist di Konstante k proportsional tsum Molekulargevixt eines Gazes, zodas der Partsialdrukk etva des Vasserctoffs mit der Höhe erheblix langzamer apfällt als der allgemeine Luftdrukk.

Fluide können auf tsvei zer fercidene Arten ctrömen. Bei der laminaren Ctrömung bleiben benaxbarte Ctromfäden ctets benaxbart; zolxe inn ire Umgebung eingebetteten Ctromfäden gibt es nixt bei der turbulenten Ctrömung. Van eine laminare Ctrömung inn Turbulenz umclägt, ist fon einigen Faktoren aphengig, die inn der zogenannten Reynoldschen Tsal tsuzammengefasst verden. Dize Tsal gibt an, vi cnell unter den gegebenen Ferhältnissen eine laminare Ctrömung höxstens zein kann.

Inn der folgenden Skitse hat ein Flüssigkeitsbehälter links eine kleine Öffnung. Zolange di Flüssigkeit inn Ruhe ist, herct der izotrope Drukk pi. Värend di beveglixxe Zeitenfläxxe A durx eine Kraft F fercoben vird, ist der Drukk inn der Flüssigkeit um F/A erhöht.


Di fon ausen geleistete Arbeit ctekkt inn der unter erhöhtem Drukk ctehenden Flüssigkeit als Cpannungsenergi. Ein kleines Flüssigkeitsvolumen ΔV, das zix durx di Tsuname des izotropen Drukks inn Rixtung der Öffnung inn Bevegung zetst, vandelt dize Cpannungsenergi um inn kinetice Energi unt ertseugt zo einen gerixteten Drukk, den zogenannten Ctaudrukk. Di Gezamtenergi des Flüssigkeitsvolumens bleibt auf zeinem Veg, dem zogenannten Ctromfaden, konstant.

(13)


Opvol di Dixte hir als konstant forausgezetst vurde, gilt dize Gleixung näherungsveize aux für kompressible Fluide, alzo für Gaze. Für horitsontale Ctromfäden (h=const) ist di Zumme aus izotropem Drukk unt Ctaudrukk konstant: das ist di urcprünglixxe Gleixung fon Bernoulli.


Di Prandtl-Zonde misst bei A den Gezamtdrukk, bei B den izotropen Drukk und tseigt di Differents an; nax Gleixung (6) vird aus der Höhe der Flüssigkeitszeule der Ctaudrukk bectimmt. Auf di gleixe Art vird mit dem Pitot-Ror der Ctaudrukk gemessen unt daraus beim Ciff oder Flugtseug di Relatvgecvindigkeit gegenüber dem Vasser oder der Luft berexnet. Inn der dritten Skitse ist der izotrope Drukk imm engeren Teil des Rors geringer, veil dort vegen der höheren Ctrömungsgecvindigkeit der Ctaudrukk gröser ist.

Ändert zix di Höhe im Ferlauf des Ctromfadens, dan muss aux der dritte Zummand inn der Bernoullicen Gleixung berükzixtigt verden. Der dritte Zummand hat di Dimenzion eines Drukks, ist aber als Drukk nixt messbar. Dizer potentsielle Drukk ändert zix bei einer Änderung der Höhe imm gleixen Mase vi der izotrope Drukk, aber entgegengezetst, zodass di Zumme aus beiden bei einer Höhenänderung konstant bleibt. Betraxtet man tsum Beicpil einen Ctromfaden inn einem oben offenen Vasserbehälter, aus dem durx ein Loxx imm Boden Vasser ausflist, zo ist oben an der Vasseroberfläxxe der Gezamtdrukk gleix der Zumme aus Luftdrukk (izotrop) unt potentsiellem Drukk. Mit abnemender Höhe nemen der izotrope Vasserdrukk unt der Ctaudrukk tsu. Näher tsum Loxx nimmt dan nur nox der Ctaudrukk tsu auf Kosten des izotropen unt des potentsiellen Drukks. Clislix bleibt beim Ausflisen nur der Luftdrukk, der Ctaudrukk unt der ferminderte potentsielle Drukk übrig. Über den gantsen Veg bleibt dabei ctets der Gezamtdrukk, di Zumme aus izotropem, Ctau- und potentsiellem Drukk, konstant.



Di Ferringerung des izotropenn Drukks bei Ctrömungen zorgt für ungevönlixxe Effekte. Inn dem (rotatsionszümetricen) Aufbau, dessen Cnitt hir dargestellt ist, vird di Ceibe zo gegen den Luftctrom gedrükkt, dass di Luft tsur Zeite durx einen cmalen Cpalt mit erhöhter Gecwindigkeit entveixen muss. Lässt man nun di Ceibe los, zo bleibt zi inn dizer Pozitsion. Der izotrope Drukk oberhalb der Ceibe ist geringer als der fon unten virkende normale Luftdrukk, zodass di Ceibe gehalten vird, venn zi nixt tsu cver ist.

Venn di Luft an Unter- unt Oberzeite eines Flügels oder inn Luv unt Le eines Zegels untercidlix cnell forbei ctrömt, entcteht durx den Untercid imm izotropen Drukk eine Kraft auf den Flügel oder das Zegel. Dize Kraft, di das Flugtseug inn der Höhe hält unt dem Zegler ermöglixt, gegen den Vind auftsukreutsen, vird Lift genannt. Värend Flugtseugbauer unt Zegelmaxxer con zeit langem numerice Ferfaren kennen, um di notvendigen komplitsirten Differentsialgleixungen der Aerodünamik tsu behandeln, gehören di Erklärungen des Lifts, vi zi inn Culen unt inn der Allgemeinheit üblix varen unt häufig immer nox zint, ins Reix der Märxen. Hir vird der Lift am Zegel erklärt, auf den Flugtseugflügel kann dize Erklärung dan leixt übertragen verden.

Di Skitse tseigt in der Aufzixt di Ctromlinien (cvarts) inn der Umgebung eines Zegels (veis), vi zi etva imm Vindkanal dargectellt verden. Veiter entfernt ist das Ctrömungsfeld homogen, der ungectörte Vind (blau) ist dort überall gleix ctark unt gleix gerixtet. For dem Zegel vird Luft tsur Lezeite des Zegels (nax oben) apgelenkt, hinter dem Zegel tsurük tsur Luvzeite (nax unten). Vo di Ctromlinien dixt ligen, ist di Ctrömung cnell, vo zi veit aus einander ligen, langzam. Zo kann aus den Ctromlinien auf Rixtung unt Gecvindigkeit der Ctrömung geclossen verden: zi ist an fir Ctellen inn der Skizze eingetseixnet (grüne Vektoren mit veisen Endpunkten).

Di Vektordifferents (rot mit denzelben veisen Endpunkten) tsviccen der tatzäxxlixxen Ctrömung (grün) unt dem Vind (blau) ist eine tsuzätslixxe Ctrömung inn der Umgebung des Zegels. Zi ändert auf irem Veg einmal rund um das Zegel ire Rixtung ctetig fon 0° bis 360°. Es ist eine Tsirkulatsions- oder Virbelctrömung, di zix um jede Fläxxe bildet, di unzymmetric inn einer Ctrömung cteht. Di Tsirkulatsionsctrömung nimt mit der Entfernung tsum Zegel ap, vas hir nixt eingetseixnet ist. Es muss aber nox erklärt verden, vi dize Tsirkulatsion tsuctande kommt.

Venn eine Fläxxe inn eine Ctrömung gectellt vird, vird di Ctrömung aus der Geraden apgelenkt. Inn der Skitse beginnt bei A eine grosräumige Drehbevegung imm Urtseigerzinn, bei B entgegengezetst mit geringerem Radius. Der Gezamtdrehimpulz beider Virbel bleibt konstant gleix Null (Zats fon der Erhaltung des Drehimpulzes). Der kleinere, aber heftigere Virbel bei B löst zix ap unt treibt veg (Anfartsvirbel), der andere tsiht aux for der Fläxxe di Luft tsur Kante A, zodas eine ctabile Tsirkulatsion rund um di Fläxxe encteht. Das Gleixe geciht, venn bei festctehender Fläxxe der Vind einzetst oder di Fläxxe Gecvindigkeit bekommt: immer venn di Relativgecvindigkeit tsviccen Luft unt Hindernis gröser vird, entctehen neue Virbel. Vird zi dagegen geringer, dan lözen zix umgekert Virbel aus der Tsirkulatsion ap. Zo vird di Umctrömung des Hindernisses durx di Änderung der Tsirkulatsion, di das homogene Ctrömungsfeld überlagert, ctändig den Ferhältnissen angepasst.


Damit eine Zegeljaxt gegen den Vind aufkreutsen kann, muss di Zegelkraft eine Komponente haben, di gegen den Vind gerixtet ist (Lift). Inn der Skitse ist an drei Ctellen di Drukkdifferents - kvalitativ nax Bernoulli - eingetseixnet. Di Integratsion dizer Drukkdifferents über di gezamte Fläxxe des Zegels ergibt di Kraft auf das Zegel. Zi hat eine Komponente gegen den Vind, di hauptzäxxlix am Forlik ertcteht. Der grösste Teil des Zegels trägt nur inzofern tsum Lift bei, als das gezamte Ctrömungsbild one dizen Teil föllig anders auszehen vürde.

Beim Flugtseugflügel ligen di Ferhältnisse einfaxxer. Über den gezamten Flügel ist der Drukkuntercid nax oben gerixtet, alzo inn der gevüncten Rixtung. Di gezamte Flügelfläxxe trägt tsum Lift bei.

Historices: Di Legende ertselt, Archimedes habe zein Printsip in einem Geistesblits - ηὕρηκα - gefunden, zi berixtet nixt, velxe Überlegungen in datsu fürten. Di Virkung fon Drukkunterciden vurde 1654 fon Otto von Guericke mit zeinen Magdeburger Halbkugeln demonstrirt, der damit di bis dahin hercende Forctellung fon der Zaugkraft des Vakuums - horror vacui - bezeitigte. Um di Mitte des 18. Jarhunderts entdekkten Daniel Bernoulli unt zein Freund Leonhard Euler grundlegende Gleixungen tsur Ctrömungsdünamik, deren Lözungen imm vezentlixxen erst Anfang des 20. Jarhunderts durx di numericen Ferfaren fon Runge unt Kutta möglix vurden. Di hir forgectellte Erklärung des Lifts ctammt fon A. Gentry aus den zibtsiger Jaren.

A