home  





XXXVII. Kosmos in einem Schwarzen Loch?
? Matrjoschka
Fundctelle


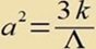
Die Theorie des Urknalls wurde von Alexander Friedmann entwickelt und 1922 veröffentlicht. Die Friedmann-Gleichungen für den Skalenfaktor a(t) sind:

?c: Lichtgeschvindigkeit
G: Gravitationskonstante
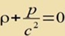
ρ: Massen/Energidichte
p: isostatischer Druck
Λ: Kosmologische Konstante
k: Krümmungsparameter
Zwischen dem Skalenfaktor a(t) und dem
Hubble-Parameter H(t) gelten die Beziehungen:
?
Subtrahiert man die erste Friedmann Gleichung von der zweiten, so erhält man für die zeitliche Ableitung des Hubble-Parameters: ?Di Kosmologische Konstante Λ hat keinen Einfluss auf eine Änderung des Hubble-Parameters!
(1)


(2)



(3)


Die möglichen Werte des Krümmungsparameter k sind -1, 0 und 1. Außer a=a(t) und H=H(t) sind auch p=p(t) und ρ=ρ(t) Funktionen der Zeit. Im Gegensatz zum Druck p, der einheitlich ist, besteht die Dichte ρ aus verschiedenen Anteilen ρi. Diese Anteile werden mithilfe einer fiktiven kritischen Dichte ρc als dimensionslose Zahlen Ωiic ausgedrückt.

Die kritische Dichte wird definiert durch?Es ist?

Dagegen ist die geschätzte Dichte der leuchtenden (baryonischen) Materie des Universums ρ=4,7⋅10-27kg/m3, also die Hälfte der kritischen Dichte.

Gleixung (26) kann mit ρc umgeformt verden tsu? Für ρ=ρcväre?Dem vidercprixxt di Ekspanzion!!
Ist H konstant, dann folgt aus Gleichung (3)? und für k=0? Einer der beiden Summanden muss negativ sein!
(4)






(5)


(6)


Nach allen Ergebnissen der Astronomie gibt es unter den verschiedenen Modellen die größte Wahrscheinlichkeit für ein euklidisch flaches Universum mit konstantem Hubble-Parameter. Um in diesem Fall Gleichung (6b) zu lösen, wird eine negative Teildichte ρDE postuliert, die sogenannte "Dunkle Energie". Sie muss dem Betrage nach größer sein als die Summe aller anderen Teildichten und zusätzlich den Druck p/c2 ausgleichen. Über die Natur dieser mysteriösen Dunklen Energie gibt es keine Vorstellung, sie soll nur in der ΛCDM-Theorie (LambdaColdDarkMatter) als Quintessenz mit Antischwerkraft das Rätsel der Expansion des Universums lösen.

Die Analyse der Fluktuationen im Spektrum der Hintergrundstrahlung führt zu Messpunkten, die auf einer glatten Kurve liegen. Es ist keine Schwierigkeit, für solche Messpunkte mit wenigen Parametern eine analytische Funktion zu berechnen, die den Verlauf der Messpunkte bestens wiedergibt. In diesem Fall genügten sechs dimensionslose Parameter. Welche physikalische Größen diese Parameter begründen, ist eine Frage der Interpretation. Wenn die ΛCDM-Theorie zugrunde gelegt wird, wäre Ωtotal=1,005±0,7% und 68% der Dichte wäre Dunkle Energie. Mit Ωtotal=1 wäre ρ=ρc und das führt zu Gleichung (5).

Die FLRW Metrik ist mit dem zeitabhängigen Skalenfaktor a(t) eine exakte Lösung der Einsteinschen Feldgleichungen mit dem Energie-Impuls-Tensor Tαβ. Aber das Problem, warum das Universum expandiert, wird weder von den Friedmann-Gleichungen noch von der ΛCDM-Theorie gelöst, sondern nur umformuliert. Der kosmologische Nebel, der die Ursache der Expansion verschleiert, ist heute so dicht wie vor hundert Jahren. Neue Ideen sind gefordert, ob eine davon tragfähig ist, wird sich zeigen. Hier ist meine Idee:

Für ein Schwarzes Loch gilt dieselbe Beziehung zwischen Radius R und dem Volumen V wie für eine Kugel in der euklidischen Geometrie.

Unter dieser Voraussetzung gibt es eine eindeutige Beziehung zwischen der Masse M, dem Radius R und der Dichte ρ eines Schwarzen Lochs.

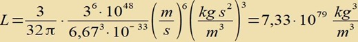
Es gilt mit(vgl. Gleichung (6) im
Kapitel XXXVI Urknall)
(7)




(8)


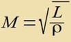
Solange das Produkt ρ⋅M2 kleiner bleibt als die Konstante L, können die Masse M und ihre Dichte ρ unabhängig von einander beliebige Werte annehmen. Wenn aber M und/oder ρ so zunehmen, dass ρ⋅M2 gleich L wird, dann bildet die Masse ein Schwarzes Loch und durch die Beziehung ρ⋅M2=L sind nun ρ unt M unlösbar mit einander verbunden. Wenn M zunimmt, nimmt ρ ab, dagegen kann ρ nicht größer werden, weil keine Masse aus dem Schwarzen Loch entweichen kann. Die Konstante L ist eine obere Grenze für das Produkt ρ⋅M2. Daraus folgt:

Ein Schwarzes Loch mit der Dichte ρ hat die Masse also

Einige Beispiele
?

ρKG ist die Dichte eines Quark-Gluon Plasmas.




ρHH ist die Dichte in der Photosphäre der Sonne.




ρK ist die mittlere Massendichte des Kosmos.

(9)




(10)




(11)




(12)


In den Gleichungen (10), (11) und (12) sind die Dunkle Materie und die zur Energie gehörige Masse nicht berücksichtigt, sodass die Dichten möglicherweise um einen Faktor zu klein sind, der aber sicher kleiner als 100 ist. Dann wären die Massen um einen Faktor 10 zu groß berechnet. Am Gesamtbild ändert sich dadurch aber nichts Wesentliches.

Für die Schwarzschild-Radien gilt?
??

(13)


(14)



MKG ist etwa die dreifache Sonnenmasse, der Radius RKG ist rund 1km. Das entspricht dem kleinsten bekannten Schwarzen Loch.//Bei der Temperatur T=5700K hat das Wasserstoff-Helium-Plasma in der Photosphäre der Sonne die Dichte ρHH. Das ist die Dichte zu Beginn der Rekombinationsära in der Urknalltheorie.// Die Masse MK weicht nicht von der geschätzten (sichtbaren) Masse des Kosmos ab (Wikipedia: ≈ 1053kg). Für den Radius des Kosmos gibt Wikipedia an >45 Milliarden Lj=4,3⋅1026m, also etwa das Doppelte von RK=2,31⋅1026m.

Nach dem Standardmodell der Kosmologie hatte 10-4s nach dem Urknall das Universum eine Ausdehnung von 1014m und dieselbe Masse wie heute, also die Masse MK. Da die Ausdehnung der Universumsmasse innerhalb ihres Schwarzschild-Radius RK lag, entstand ein Schwarzes Loch.

Nach der Urknalltheori müsste das Universum seit t=10-4s im Innern eines Schwarzen Lochs liegen.


Während nach dem Standardmodell die gesamte Masse des Universums in 10-4s aus dem Nichts entstanden ist, wird hier angenommen, dass der Kosmos in einem größeren Universum als stellares Schwarzes Loch etwa mit der Masse MKG (Gl. 4) entstanden ist und dann ständig mehr oder weniger Masse aus diesem Universum aufnimmt. Die zeitliche Entwicklung des Kosmos durchläuft ab einer Quark-Gluon-Phase die gleichen Zustände, die auch in der Urknalltheorie angenommen werden, sie ist aber nicht bestimmt durch eine extrapolierte Hubble-Zeit, sondern hängt ab von der unregelmäßigen Aufnahme von Massen aus dem umfassenden Universum. Damit verbunden ist nach den Gleichungen (1) eine Verringerung der Dichte und Vergrößerung des Volumens. Der Kosmos expandiert, die Wellen der elektromagnetischen Strahlung, die im frühen Kosmos dessen Hauptteil der Energie und Masse ausmacht, werden auseinander gezogen, sodass die Strahlung an Energie verliert. Da Strahlung und Massen noch im thermischen Gleichgewicht stehen, sinkt die Temperatur. Bei 5700K ist die Masse des Kosmos auf eine halbe Billion Sonnenmassen (Gl. 5) angewachsen und der Radius auf den Zehnten Teil eines Lichtjahres (Gl. 8b). Der Kosmos nimmt mehr Masse auf, die Dichte wird geringer, die Expansion geht weiter und die Temperatur fällt bis bei etwa 3000K Masse und Strahlung entkoppeln. Die Masse des Kosmos besteht nun aus neutralen Atomen (und Dunkler Materie) und die Strahlung überdauert als Hintergrundstrahlung ungestört, aber ständig langwelliger werdend die Jahrmilliarden. Die Hintergrundstralung ist das früheste experimentelle Ergebnis überhaupt, während es über die Zeit davor nur rein theoretische Überlegungen gibt. Mit z=1100 ist die Rotverschkiebung der Hintergrundstrahlung stärker als die von jedem anderen Ereignis im Kosmos.

Wenn die Punkte einer Messreihe erkennbar auf oder nahe einer glatten Kurve liegen, ist es immer möglich, mit einigen Parametern die Kurve als analytische Funktsion darzustellen. Für das CMB Temperatur Cpektrum der Planck Collaboration gelingt das mit sechs Parametern, denen dann auf der Grundlage der ΛCDM Teori bestimmte Bedeutungen zugewiesen werden. Darüber schreiben die Autoren selbst: "many of the ingredients of the model remain highly mysterious from a fundamental physics point of view". Besonders mysteriös ist die Dunkle Energie, die 68% des Kosmos ausmachen soll, ohne dass es eine Vorstellung davon gibt, woraus diese Dunkle Energie bestehen könnte. Der Ausgangspunkt der Urknalltheorie, das Auseinanderdriften der Galaxien, verlangt eine Erklärung, wird aber mit der unerklärbaren Dunklen Energie nur ins Reich der Mysterien verschoben. From a fundamental physics point of view gibt es eine andere Erklärung:


Der Kosmos als Schwarzes Loch im Universum hat einen Drehimpuls. Wenn er neue Masse aufnimmt, wird der Horizont erweitert und die Zentrifugalkraft drückt Masse in den Raum zwischen altem und neuem Horizont. Der Kosmos wird bei geringerer Dichte weiter aufgebläht und die Entfernungen zwischen den Galaxien werden größer. Weil mit jeder Massenaufnahme auch die Oberfläche wächst, wird die Wahrscheinlichkeit neuer Massenaufnahme gröser, die Expansion wird beschleunigt.


Mit hundert Milliarden Sonnenmassen schon zu Beginn der Rekombinationsära (Gl. 11) ist der Kosmos als Schwarzes Loch bei weitem groß genug, um auch Schwarze Löcher mit einigen Zehntausend Sonnenmassen aus dem umgebenden Universum aufzunehmen. In der wasserstoffreichen Umgebung wachsen sie dann zu supermassiven Schwarzen Löchern heran, die als sehr frühe Quasare und AGNs früher Galaxien auftreten.



Vergleich zwischen Friedman ΛCDM (Urknalltheorie) und Schwarz-Loch-Kosmos.

ProblemUrknalltheorieSchwarz-Loch-Kosmos

Herkunft von Masse und Energieaus dem Nichts ???aus dem umgebenden Universum
Grund für das Fehlen von Antimaterie???fehlt schon im umgebenden Universum
Massenverhältnis leichter KernePrimordinale Nukleosyntheseist das gleiche Verhätnis wie im umgebenden Universum
Grund für die ExpansionDunkle Energie ??? Drehimpuls des Schwarz-Loch-Kosmos
Grund für die Beschleunigung der ExpansionDunkle Energie ???Eine grösere Oberfläche erhöht die Massenaufnahme.
Entstehung sehr früher Quasarebisher rätselhaftDer Kosmos nimmt schon sehr früh Schwarze Löcher auf.



Es gibt einige Artikel, in denen ein Schwarzes Loch mit der Schwarzschild-de-Sitter Metrik oder der Kerr-de Sitter Metrik beschrieben wird. Dabei handelt es sich aber immer um Schwarze Löcher im Weltall, nie um den Kosmos als ein Schwarzes Loch. Insbesondere wird - so weit ich weiß - nirgends auf die mit der Rotation verbundene Zentrifugalkraft im Innern eines Schwarzen Lochs eingegangen.

Nur so nebenbei: Wenn Masse und Energie spontan aus dem Nichts entstehen, wie die Urknalltheorie annimmt, dann gibt es keinen Grund anzunehmen, das könne nur ein einziges Mal geschehen. Es sollte also beliebig viele Parallel-Universen geben, darunter eventuell auch Universen aus Antimaterie. Wer mag, kann den Faden weiterspinnen.


A