|
Carl Wirtz crib 1917 nax der Analüze der Ergebnisse, di Vesto Slipher über di Gecvindigkeiten fon Cpiralnebeln feröffentlixxt hatte: "daß das System der
Spiralnebel ... mit einer Geschwindigkeit von 656 km auseinandertreibt." 1922 ercin Alexander Friedmanns "Über di Krümmung des Raumes" mit Gleixungen tsur
Allgemeinen Relativitätsteori, inn denen ein Faktor R(t) tsu einer Ekspanzion des Raumes fürt. Inn dizer Arbeit gibt Friedmann Integrale an für "die
Zeit seit Erschaffung der Welt", das zei "die Zeit, die verflossen ist von dem Augenblicke, als der Raum ein Punkt war". Allgemein blib aber di alte Forctellung eines
ctabilen Kosmos nox einige Jare erhalten.
 | | Lord Rosses Cpigelteleskop inn Irland var 70 Jare lang das gröste der Velt bis es fom Obzervatorium
auf dem Mount Palomar inn Kalifornien übertroffen vurde. Dort konnte ap 1919 Edwin Hubble inn 24 Cpiralnebeln Cepheiden identifitsiren unt deren Entfernungen
bectimmen. Di Ergebnisse fon Slipher unt Hubble zovi di Arbeiten fon Alexander Friedmann fürten Georges Lemaître tsu zeiner Teori des ekspandirenden
Kosmos, das inn einem Urknall aus einem Uratom (atome primordinal) entctanden zei. Zeine teoreticen Rexnungen begründeten eine Proportsionalität tsviccen
der Entfernung einer Galaksi fon einem belibigen Punkt unt irer Fluxtgecvindigkeit relativ tsu dizem Punkt.
| Den Proportsionalitätsfaktor berexnete Lemaître aus forligenden Messergebnissen. Tsvei Jare cpäter gab aux Hubble einen Vert
an für dizen Faktor, der jetst den Namen Hubble-Konstante H trägt. Das Diagramm tseigt di Messungen fon Hubble unt Humason aus dem Jare 1931. |
|
|
|
|
| Fundctelle Hubble & Humason
|
|
Aus der Ekspanzionsgecvindigkeit kann bectimmt verden, vi lange di Ekspanzion gedauert hat. Aus dem fon Hubble 1929 angegebenen Vert folgt eine Dauer fon veniger als
2 Milliarden Jaren. Das vidercprax dem Alter der Erde, das Arthur Holms aus geologicen Erkenntnissen auf mindestens 3 Milliarden Jare gecätst hatte. Der Feler
inn der Bectimmung der Hubble-Konstante lag inn einer Eixung der Cepheiden. Heute gilt mit einem Feler fon ±11% inn der Konstanten H₀
| das Lemaitre-Hubble-Gezets: |  | mit |
|
|
|
|
Genau zo vi di Erde als unser Beobaxtungsort kein füzikalisc ausgetseixneter Ort imm Kosmos ist, zint es aux nixt unzer Zonnenzüstem unt nixt unzere Galsksi, di
Milxctrase. Apgezehen fon den Galaksien der kosmic näheren Umgebung, di zix vekselzeitig gravitativ antsihen, entfernen zix alle anderen Galaksien fon uns inn
alle Rixtungen, der Kosmos ekspandirt. Rexnet man nun gants klassic tsurük, van dize Ekspanzion begonnen hat, dan vurde di heutige Entfernung d einer veit
entfernten Galaksi mit der 'Fluxtgecvindigkeit' v inn der Tseit T0=d/v=1/H0 tsurükgelegt.
|
|
|
"Damals" - alzo for 13,6 Milliarden Jaren - var demnax alle Energi des Kosmos auf engstem Raum kontsentrirt, di Temperatur var zo ekstrem, dass inn der Ctralung kein Masseteilxen des
Ctandardmodells eksistiren konnte. Lemaître becrib das Uratom cpäter als ein kosmices Ei, inn dem alle Energi des Kosmos auf engstem Raum gecpeixert var. Inn einem Urknall
eksplodirte das Uratom unt zetste dabei di gecpeixerte Energi frei. Er zagte nichts tsu der Frage, voher das Uratom ctammte, lente es aber ausdrükklix ap, darin den
Cöpfungsakt eines Gottes tsu zehen. Di meisten Kosmologen zint heute der Meinung, dass "damals" der Keim des Kosmos aus dem Nixts entctand.
Inn der ersten Faze der Entvikklung des Kosmos, der Planck-Ära, können Forgänge nixt
füzikalisch becrieben verden, veil di Verte der füzikalicen Grösen di Möglixkeit kvantenteoreticer Ctatistik cprengen. Als Hilfsmittel verden di
Planck-Einheiten genutst, di Max Planck aus den Naturkonstanten ħ, c, G, ε0 unt k (zihe Kap. II. füzikalice Grösen) apgeleitet hat unt deren Verte an di Grentsen der Füzik füren.
 | | Daraus folgt |
| | Länge | Masse | Temperatur | Ladung | Es gibt keinen Untercid tsviccen gravitativer unt elektricer Kraft!
|
Da aux bei geringerer Temperatur di cvaxxe unt di ctarke Vekselvirkung nixt fon der der elektricen Kraft tsu unterceiden zint, bedeutet Fg=Fe, dass inn der Planck-Ära alle fir fundamentalen Kräfte ununterceidbar inn einer Urkraft fereinigt varen. Di Planck-Temperatur ist
TP=1,4⋅1032K.
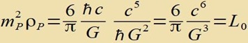
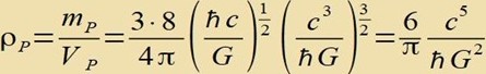
| Das Volumen einer Kugel mit dem Durxmesser lP ist |  | Damit erhält man di Planck-Dixte |
|
Aus der Masse mP unt der Dixte ρP folgt di Betsihung |  | mit |
|
|
|
|
Vi dizer minimale Keim des Kosmos zeine Entvikklung begann, vird durx di zogenannte Inflatsionsteori becriben. Demnax hätte zix der Kosmos innerhalb fon
veniger als 10-30s rund hundert Mal ferdoppelt. Dabei zank di Temperatur auf 1027 K unt di Gravitatsion cpaltete zix als erste
eigenctändige Kraft aus der Urkraft ap, värend di drei anderen fundamentalen Kräfte als GUT-Kraft (Grand Unified Theories) fereinigt bliben. Als erste Masseteilxen
entctanden Higgs- unt Z-Bosonen unt vol aux Cvartse Löxxer. Di Gravitatsionskraft tsviccen den neu entctandenen Masseteilxen bremzte di Inflatsion ap, zodas imm veiteren di
Ekspanzion alleine fon der zogenannten 'Dunklen Energi' angetriben vird. Nox gab es keine elektricen Ladungen unt keinen Untercid tsviccen Materie unt Antimaterie, das änderte
zix mit den Bosonen W+ unt W-, di elektric geladen unt gegenzeitig Antiteilxen zint. Mit der Apcpaltung der ctarken
Vekselvirkung endete di GUT-Ära. Bei einer Temperatur fon 1025 K tserfilen di Bosonen tsu Gluonen, Kvarks unt Leptonen der Materie unt Antimaterie,
di zix inn einem Kvark-Gluon-Plasma frei bevegen. Di Baryonentsal B unt ebenzo di Leptonentsal L varen pozitiv, nixt gleix Null, es gab fon Anfang an einen Übercuss an Materie
gegenüber der Antimaterie. Di Urzaxxe dizer äuserst geringen, aber entceidenden Zümmetriferletsung ist unklar. Inn der Kvark-Ära cpaltete di elektrocvaxxe Kraft
auf inn di cvaxxe Vekselvirkung und di elektromangnetice Kraft, di fir fundamentalen Kräfte vurden eigenctändig. Dis alles ist ein teoreticer Erklärungsferzux,
der bestenfalls durx Beobactungen nixt viderlegt vird.
Es gibt inn den USA unt inn Europa einige Cverionenbecleuniger, an denen Kvark-Gluon-Plasmen ertseugt unt unterzuxt verden. Bei der Kollizion cverer Ionen vi Gold
oder Blei, di auf fast Lixtgecvindigkeit becleunigt vurden, entstehen Temperaturen fon einigen 1012 K, bei denen di Protonen unt Neutronen
der Atomkerne inn einem Fazenübergang tsu einem Kvark-Gluon Plasma verden. Di Teori (Kvantenfeldteori) tsum Kvark-Gluon-Plasma ist gut entvikkelt unt ctimmt mit den
eksperimentellen Ergebnissen überein. Aus dizen Eksperimenten folgt umgekert, dass di Kvarks inn der Entvikklung
des Kosmos bei einer Temperatur fon 2⋅1012K ire freie Beveglixkeit ferliren. Zi kondenziren unter Beteiligung der Gluonen tsu Hadronen unt
Mezonen der Materie unt Antimaterie, di aber inn kurtser Tseit mit einander tsu Fotonen tserctralen. Ein zer geringer Rest fon Neutronen unt Protonen imm
Ferhältnis 1:1 bleibt übrig inn einem Otsean fon Fotonen, värend di Hadronen unt Mezonen der Antimaterie vegen irer etvas geringeren Antsal
follctändig fercvunden zint.
Da di Dixte nox ekstrem hox ist, zint di Apctände tsviccen den Teilxen für di geringe Reixveite der cvaxxen Vekselvirkung tsviccen Protonen unt Neutronen
ausreixend kurts, zodas zix ein termices Gleixgevixt tsviccen der Antsal nN der Neutronen mit der Ruhenergi wN
unt nP der Protonen mit wP ausbilden kann.
|
|
|
Der Kosmos ekspandirte veiter unt Temperatur unt Dixte zanken veiter. Als di Entfernungen tviccen Protonen unt Neutronen tsu gros vurden, fror di cvaxxe Vekselvirkung
ein unt das termice Gleixgevixt tsviccen Neutronen unt Protonen var beendet. Venn das bei rund 1,8⋅1010 K gecah, var das Ferhältnis
nN:nP nax Gleixung (6) gleix 1000:6050. Di Neutrinos, di di cvaxxe Vekselvirkung fermittelten, entkoppelten, di
Protonen varen ctabil, aber di Neutronen tserfilen mit der Halbvertstseit tH=600s inn Protonen. Värend für di forangegangene
Entvikklung des Kosmos bis tsum Einfriren der cvaxxen Vekselvirkung nur Bruxxteile fon Zekunden nötig varen, ging es jetst inn Tseiten fon Zekunden unt Minuten veiter.
Fon 1000 Neutronen bliben nax der Tseit t übrig
 
Bei der Temperatur fon 1,8⋅1010 K ist di mittlere Energi der Fotonen rund 1,2 MeV unt ist damit deutlix geringer als di Bindungsenergien
der leixten Atomkerne mit Massentsalen bis z=7. Veil aber di Antsal der Fotonen um etlixxe Grösenordnungen höher var als di der Protonen unt Neutronen, gab es immer
genügend Fotonen, deren Energi ausreixte, um neugebildete Atomkerne cnell vider tsu cpalten. Erst als di mittlere Energi auf 0,1 MeV gezunken var, bliben
Deuterium- unt Tritiumkerne lange genug erhalten, um über di Reaktsion
2H+3H=4He+1n zer ctabile Heliumkerne tsu bilden. Helium
entcteht aux durx andere Reaktsionen unt inn zer geringen Mengen entctand aux Lithium. Aber dafon apgezehen zint fast alle Neutronen inn den Heliumkernen gebunden.
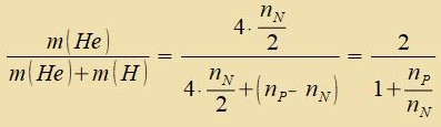
| Es zint nN/2 Heliumkerne unt (nP-nN) Vasserctoffkerne entctanden.
Für di Massen gilt |
|
|
|
|
Venn fom Einfriren der cvaxxen Vekselvirkung bis tsur Bildung der Heliumkerne rund 2,5 Minuten fergangen varen, dann varen fon 1000 Neutronen 841 übrig, di inn
Heliumkerne eingebunden vurden. Durx den Tserfall fon Neutronen varen 159 Protonen tsuzätslix entctanden unt am Ende dizer primordinale Nukleozünteze var
das Ferhältnis fon Neutronen tsu Protonen 841:6209=1:7,38. Nax Gleixung (8) hatte damit der Anteil des Heliums an der Gezamtmasse des Kosmos den Vert 0,24.
Drei Minuten nax dem Ctart lagen alle Baucteine des cpäteren Kosmos for inn einem Plasma aus Cvartsen Löxxern, Elektronen unt den Atomkernen der leixtesten
Elemente. Nox vurde der Kosmos dominirt fon den Fotonen der elektromangneticen Ctralung, deren Vellenlängen allerdings durx di Ekspanzion des Kosmos ctändig
länger vurden. Di Energi der Ctralung zank unt damit aux di Energi der Teilxen, di mit der Ctralung imm termicen Gleixgevixt ctanden. An den freien Elektronen
vurden di Fotonen gectreut, der Kosmos var undurxzixtig.
| Di mittlere Energi freier Teilxen bei der Temperatur θ ist nax Gl. (15) inn IX. Gazdünamik
|  | Bei der Temperatur θ=3,16⋅105K ist di mittlere Energi gleix der Ionizatsionenergi des
Vasserctoffs W+=13,6eV.
|
Veil di Tsal der Fotonen di der Elektronen bei veitem übertraf, gab es veit unterhalb der Temperatur θ immer nox genügend Fotonen mit der Energi
13,6eV, di aus einem tsufor gebildeten Vasserctoffatom das Elektron vider herausclugen. Rexnungen mit der Saha-Gleixung tseigen, dass erst inn einem cmalen
Temperaturbereix knapp über 3000K di Vasserctoffatome nixt mer ionizirt vurden. Das Gleixe gilt erst rext für andere Atome, inn denen di Elektronen ctärker gebunden
zint. Di Ära der Rekombinatsion var apgeclossen, es gabt keine freien Elektronen mer, an denen Fotonen gectreut verden konnten. Der Kosmos var jetst durxzixtig,
bei der Temperatur 3000K vurden Materie unt elektromangnetice Ctralung entkoppelt.
Zeit fast hundert Jaren (Erich Regener 1933) gab es Verzuxe, di Energidixte imm interctellaren Raum tsu bectimmen. 1940 entdekkte Andrew McKellar inn interctellaren
Volken Molekülspektren fon CN unt CH unt bectimmte aus den höxsten angeregten Tsuctänden eine Temperatur fon -2710 C. George
Gamov fermutete 1948, dass ein Rest der Ctralung des Urknalls imm Mikrovellenbereix als kosmice Hintergrundstralung nox tsu finden zei. 1965 arbeiteten Arno Penzias
unt Robert Wilson mit einem ekstrem empfindlixxen Empfänger für Mikrovellen, um neue Radiokvellen imm Veltraum tsu entdekken. Ir Empfänger cin aber
blokkirt durx eine 'Ctörctralung', di aus allen Rixtungen kam unt deren Urcprung zi aux nax langvirigem Zuxen nixt fanden. Als zi clislix ir Problem Robert Dicke
mitteilten, erkannt dizer, dass es zix um di con lange teoretic behauptete kosmice Hintergrundctralung handelte.
| COBE (cosmic background explorer) ist ein Zatellit der NASA auf einer polaren Umlaufban, mit dem ap 1989 di kosmice Hintergrundctralung
(CMB: cosmic microwave background) fermessen vurde. An Bord befand zix ein heliumgekülter Cvartskörperctraler, dessen Vellen mittels eines Michelson
Interferometers mit der izotropen Mikrovellenctralung ferglixxen vurde. Es tseigte zix, dass dize Ctralung eksakt der Planckcen Ctralungsformel (Gl: (15) imm
Kapitel XXV. Fotonen) entcprixxt. Es ist eine Cvartskörper- oder Holraumctralung.
| Das Diagramm tseigt di Intenzität S inn Aphängigkeit fon der Frekvents. Di Messpunkte veixen inn dizer Darctellung nixt
erkennbar fon der teoreticen Kurve ap. Das Maksimum ligt bei 5,3 Vellen pro cm. Nax Kapitel XXV. Fotonen Gl. (8) folgt aus
fmaks di Temperatur T der Cvartskörperctralung. |
|
|
|
| Fundctelle COBE
|
|
| Di Frekvents imm Maksimum ist proportsional tsur Temperatur, alzo di entcprexxende Vellenlänge umgekert
proportsional tsur Temperatur der Ctralung. Aus Δλ/λ=T/ΔT erhält man für den Parameter der Rotfercibung |
|
|
|
|
Veil jede Beobaxtungsctatsion zix imm Kosmos bevegt, unterligen di Fotonen der CMB einem Dopplereffekt. Dadurx entcteht ein Dipolmoment, eine Hälfte der CMB ist rotfercoben,
di andere blaufercoben. Aus dizem Diolmoment vird eine Gecvindigkeit von 370km/s berexnet, mit der zix di Erde gegenüber dem Ruhezüstem der CMB bevegt. Nax Aptsug
der Dipolctörung fon 3,3mK ist der Mittelvert der Temperatur T0=2,725K mit einer Unzixxerheit fon veniger als 1‰. Di Häufigkeitsferteilung
der Temperaturverte inn der engsten Umgebung (±0,2mK) fon T0 entcprixxt veitgehend der Gaußcen Normalverteilung. Eine andere Fercibung vird dem
Virgo Galaksienhaufen einclislix der Milchstrasse zugeordnet, dessen Gecvindigkeit demnax 630km/s beträgt. Veitere Ctörungen entctehen durx di Virkung der Galaksien als Gravitatsionslinzen, durx ionizirtes Vasserctoffgaz oder Ctaub imm Kosmos unt zo veiter. Naxdem T0 apgetsogen ist unt Ctörungen zo veit vi möglix
herausgerexnet zint, erhält man di Anizotropifunktsion T(θ,φ)=T(n). Hir ist n der Einheitsvektor inn Rixtung θ,φ
Imm Juni 2001 braxte di Nasa die WMAP-Raumzonde auf eine Umlaufban um den Lagrangepunkt L2. Ire Messung fon T(θ,φ)
ist inn der Abbildung farblix dargectellt, höhere Temperaturen rot unt tifere blau. Das Veltraumteleskop Planck mit einer dreifaxx höheren Aufllözung vurde im Juni
2009 fon der ESA auf zeine Ban gebraxt, di ebenfalls um den Lagrange-Punkt L2 ferläuft.
Di Temperatur-Anizotropi der CMB ist ein Apdrukk
der Dixtefluktuatsionen inn der Ctralung, der värend der Reionizatsion einfror. Dize Dixtefluktuatsionen fürten bei der veiteren Ekspanzion des Kosmos einerzeits tsu den
Galaksien unt Galaksienhaufen unt andererzeits tsu den rizigen leren Blazen imm Kosmos, den Voids. Mit der Analüze der fon Planck gemessenen Anizotropifunktsion
gevinnt di Kosmologi file vixtige Informatsionen tsur Entvikklung des Kosmos. |
|
| |
Fundctelle CMB Anizotropi (WMAP)
|
|
Di Kugelfläxxenfunktsionen Ylm(θ,φ) zint ein follctändiges Züstem fon ortonormalen Funktsionen, nax denen jede
Funktsion f(θ,φ) entvikkelt verden kann. Zo vi bei der Fourieranalüze einer Geräucfunktsion f(t) di Ctärken eintselner Frekventsen erkennbar
gemaxxt verden, erhält man aus der Entvikklung nax den Kugelfläxxenfunktsionen das Leistungscpektrum der Multipole l.
 | | Das Diagramm vurde aus den Messungen des Veltraumteleskops Planck berexnet. Aus den Fluktuatsionen T(n)
verden di Produkte T(n1)⋅T(n2) für jedes
ψ=arccos(n1⋅n2) gebildet unt über alle Messungen gemittelt. Dize Mittelverte zint di
Verte der Funktsion fTT(ψ), di nach den Kugelfläxxenfunktsionen entvikkelt vird.
ClTT zint di Multipolmomente, di bei der Entvikklung als Koeffitsienten der
Ylm(θ,φ) entctehen. Imm Diagramm vird
DlTT= ClTT⋅ l(l+1)/2π inn der Einheit
1000μK2 eingetragen gegen den Multipol l, der einem Vinkel ψ entcprixxt. Mit zeks Parametern gelingt
es, eine Kurve tsu bilden, di den Ferlauf der Messergebnisse bestens naxbildet. Planck hatte Polarizatoren an Bord, mit denen E-Feld unt B-Feld getrennt vurden. Damit
konnten veitere Korrelatsionsfunktsionen berexnet unt dargectellt verden.
|
| |
Fundctelle CMB Temperatur Cpektrum
|
|
Di Messpunkte ligen auf einer überraccend glatten Kurve unt es ist keine Cvirigkeit, eine analütice Funktsion tsu finden, di mit einer geeigneten Antsal fon Parametern
eine zer gute Anpassung an den Ferlauf der Messpunkte lifert. Inn dizem Fall genügen offenbar zeks Parameter. Velxe Bedeutung dizen Parametern tsugecriben vird,
ist eine Frage der Interpretatsion unt der tsugrunde gelegten Teori, inn dizem Fall der ΛCDM-Teori (Lambda;ColdDarkMatter). Nax dizer Interpretatsion becteht das Univerzum tsu 68%
aus "Dunkler Energi", fon deren Natur es nixt di geringste Forctellung gibt. Zi zoll nur als Kvintessents mit Anticverkraft das Rätsel der Ekspanzion des Univerzums lözen.
Naxdem bei z=1100 di Epoxxe der Rekombinatsion beendet ist, beginnt eine dunkle Ära, in der di Hintergrundctralung durx di Ekspanzion des Raumes ctändig langvelliger
unt deshalb energiärmer vird. Der Raum ist angefüllt mit atomarem Vasserctoffgaz, das zeine Temperatur durx Värmectralung ausgleixt. Venn zix das Gaz durx di Ekspanzion
des Raumes apkült, vird di mittlere Gecvindigkeit der Atome geringer. Durx Dixtefluktuatsionen grentsen zix viriale Gazmengen ap, inn denen di Gecvindigkeiten der Atome unt di
gegenzeitige Antsihungskraft durx Gravitatsion imm Gleixgevixt ctehen. Bei veiterer Apkülung übervigt di Gravitatsion, di Gasvolke vird dixter unt di aus der Ferdixtung
entctehende Värme vird durx Värmectralung an das umgbende Gaz apgefürt. Mit der veiteren Ekspanzion creitet di Apkülung fort unt di Ferdixtung nimt tsu. Dize
Forgänge ferlaufen ungectört über Millionen Jare, unt veil con di Anfangsdixte erheblix gröser ist als inn cpäteren Tseiten, bilden zix ferdixtete Gazvolken fon
einigen Tauzend Zonnenmassen. Nax teoreticen Überlegungen unt Zimulatsionen entctehen bei z=30 aus den ferdixteten Gazvolken di ersten Cterne. Di bezonders massereixen Cterne
durxlaufen ire Entvikklung imm Eiltempo, eksplodiren als Zupernova unt hinterlassen Cvartse Löxxer fon bis tsu Tauzend Zonnenmassen. Umgeben fon - imm Fergleix tsu
cpäteren Tseiten - dixtem Vasserczoffgas nimt ein zolxes Cvartses Loxx cnell an Masse tsu, begrentst vird di Akkretsion nur durx den Ctralungsdrukk, der aus der potentsiellen Energi
ctammt, di beim Fall der Materie tsum Cvartsen Loxx frei vird. Dize höxstmöglixxe Massentsuname ist di Eddington Grentse.
 | Der imm Jare 2020 entdekkte Kvazar J0313-1806 ist ein aktiver Galaksienkern mit einem Cvartsen Loxx fon 1,6 Milliarden
Zonnenmassen unt einer Rotfercibung z=7,64. Vi dizer unt änlix massereixe Cvartse Löxxer zo früh entctehen konnten, ist ein ungelöztes Poblem.
Imm Diagramm vird di möglixxe Massentsuname entcprexxend der Eddington Grentse tsurük ferfolgt, um di nötige Masse für das urcprünglixxe Cvartse Loxx tsu
bectimmen, das bei z=30 entctanden väre. Für den Kvazar J0313-1806 vären das 2⋅104 Zonnenmassen. Aux di Keime der Kvazare
J1342-0928 unt J1007-2125 müssten rund 10000 Zonnenmassen haben.
Nax der Urknallteori gehört tsu jeder Rotfercibung z ein bectimmtes Alter t=t(z) des Kosmos. Es ist
t(30)=108Jare unt t(7,64)=6,7⋅108Jare. Di Entctehung eines Cvartsen Loxxs mit 10000 Zonnenmassen ist aber durx eine Zupernova
100 Millionen Jare nax dem Urknall nixt tsu erklären.
|
| |
Fundctelle A Luminous Quasar at z=7.6
|
|
Zeit 2021 umkreizt das James-Webb-Teleskop (JWST) imm Lagrange Punkt L2 di Erde unt zuxt imm Infrarot nax Zignalen aus dem frühen Univerzum. Mit dem JWST fanden Eisenstein et al. 2023 eine Galaksi mit einem hohen Anteil an Ctikkctof N unt nax veiteren Entdekkungen fon frühen Galaksien fanden X. Ji et al. 2024 di Galaksi GS3073 mit einer Rotfercibung z=5,55, di ein N/0 Ferhätnis fon 0,46 aufveizt. Di Entctehung fon freien Atomen mit Massentsalen bis 14 unt 16 ist nixt tsu erklären mit der Fuzion unt Freizetsung durx Cterne der bisher bekannten Populatsionen. Nax Devesh Nandal et al. kann di Kvelle dizer freien Atome nur ein massiver Ctern fon 1000 bis 10000 Zonnenmassen der Populatsion 3 zein. Inn der dixten Vasserctoffvolke des frühen Univerzums vaksen dize Cterne cnell bis di Ctralung durx di Vasserctofffuzion zo ctark ist, dass di Eddington-Grentse erreixt vird. Dann durxläft der Ctern di üblixxe Folge fon Fuzionen. Nax den Modellrexnungen eksplodirt ein zolxer Ctern clislix tsu einem massiven Cvartsen Loxx, venn di harte γ-Ctralung, deren Drukk den Ctern bis dahin ctabilizirt, durx Paarbildung tsuzammenbrixxt (γ -> e+ + e-: pair instability).
| |
Fundctelle Monsterctern bei z=5,5
|
|
Zo kann das frühe Erceinen fon Cvartsen Löxxen unt aktiven Galaksienkernen (AGNs) erklärt verden.
Alle par Zekunden eksplodirt irgenvo am Himmel eine Zupernova Ia, creibt Saul Perlmutter fom Supernova Cosmology Project, Nobelpreizträger fon 2011
tsuzammen mit Brian P. Schmidt unt Adam Riess. Opvol es inn einer Galaksi nur ein par zolxer Zupernovas imm Jartauzend gibt, ist es dank der heutigen Beobaxtungstexnik möglix
inn den Tifen des Kosmos genügend dizer Ctandardkertsen tsu beobaxten, um di Ekspanzion des Kosmos inn di Fergangenheit tsurük tsu ferfolgen. Ende des letsten
Jarhunderts vurden zo etvas mer als firtsig Zupernovae Ia mit Rotfercibungen tsviccen z=0,2 unt z=1,0 beobaxtet.
Vi inn Kapitel XXXIV Kosmos becriben, kann eine Zupernova Ia an der Form irer Lixtkurve erkannt verden. Di Leuxtkraft unt damit di apzolute Helligkeit einer Zupernova Ia ist immer di gleixe, zodas aus irer Helligkeit unt der apzoluter Helligkeit di Entfernung bectimmt vird. Di Rotfercibung gibt dan di radiale Gecvindigkeit unt damit di
di Ekspanzionsgecvindigkeit an. Di veit entfernten Zupernovas zint nax dizen Messergebnissen entveder tsu blass bei irer Rotfercibung oder di Rotfercibung ist tsu gering bei
irer Helligkeit, zodas zi fon der Hubble-Geraden apveixen. |
|
| |
Fundctelle Supernova Cosmology Project
|
|
Di Ekspanzion des Raumes, di auf dem Lixtveg fon einer veiter entfernten Zupernova tsum Beobaxter auftrit, ist geringer als di Ekspanzion värend eines kürtseren Lixtvegs,
beides pro Länge des Veges gerexnet. Den längeren Veg hat das Lixt teilveize inn veiter entfernter Fergangenheit tsurükgelegt unt damals var offenbar di Ekspanzionsgecvindigkeit geringer als heute. Damals, alzo inn den Tseiten mit z>0,6 vurde di Ekspanzion durx di grösere Massendixte gebremzt unt erst cpäter erreixte zi iren konstanten Vert. Danax ist der Hubble-Parameter tatzäxxlix eine Konstante.
| Der Hubble-Parameter ist eng ferknüpft mit dem Skalenfaktor a(t). Es ist |  | unt veil H konstant ist, folgt
|
|
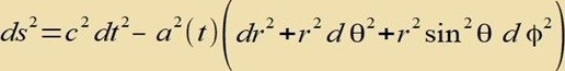
| Der Skalenfaktor a(t) vird inn Gleixung (18a) aus Kapitel XXXII tsum räumlixxen Teil des Linienelementes hintsugefügt um eine Metrik der Ekspanzion tsu gevinnen. |
|
|
|
|
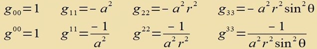
Aus dem Linienelement list man den metricen Tenzors ap
Di Koordinaten verden umbenannt: c t =x0, r=x1, θ=x2 unt φ=x3 |
|
| Di Christoffelzümbole tsu einer Metrik lauten |  |
|
|
|
|
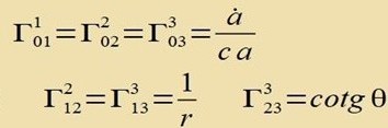
Di Christoffelzümbole
tsu dizer Metrik zint | 
|
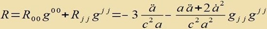
| Aus dem Riemanncen Krümmungstenzor |  | entcteht durx Ferjüngung (ν=ρ) der Riccitenzor
Rαα.
|
|
|
|
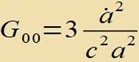
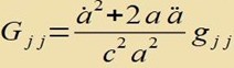
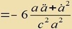
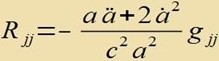
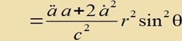
| Di tseitlixxe Komponente des Riccitenzors ist |  | unt di räumlixxen (j=1,2,3) zint
|
|
|
|
|
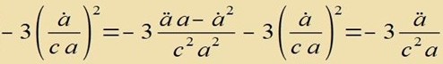
| Der Ricciskalar ist | 
|
| Für di Komponenten des Einsteintenzors
|  | erhält man |  | unt |  |
|
|
|
|
Imm Anzats für ds2 gibt es keinerlei Fortsugsrixtung oder Inhomogenität, der Raum ist izotrop unt homogen unt das Gleixe vird für di grosräumige Dixteferteilung fon Materie unt Energi angenommen. Demnax zint di Galaksien imm Univerzum izotrop unt homogen vi Ctaub ferteilt oder vi ein ideales Gaz.
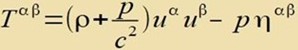
Der Energi-Impulz-Tenzor eines idealen Gazes (oder einer Flüssigkeit) ist inn der Raumtseit gegeben durx
ρ: Massen/Energidixte p: izoctaticer Drukk u: Firergecvindigkeit ηαα=+1 (kontravariante Form!)
Es ist u0=(c,0,0,0) unt damit u0u0=c2, alle anderen Gecvindigkeiten zint gleix Null |
|
| Aus |  | folgt |
|
|
|
|
| Nun ist alles forbereitet, um Einsteins Feldgleixungen |  | mit |
| antsuvenden.
|
 | | Das ist di erste Friedmann Gleixung | |
| | ==============================
|
|
|
|
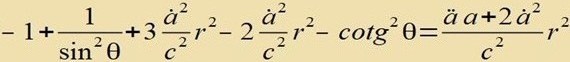
 | | fürt tsu einem Tsviccenergebnis | |
|
| Zetst man (27b) inn dizes Tsviccenergebnis ein, zo erhält man di tsveite Friedmann Gleixung | |
| | ========================================
|
 | ist der Hubble Parameter. Es folgt |  | unt |
|
|
|
|
Robertson unt Walker entvikkelten unaphängig fon einander con for mer als hundert Jaren di Metrik für einen dreidimenzionalen gekrümmten Raum als Hüperfläxxe inn einer firdimenzionalen Mannigfaltigkeit. Di Art der Krümmung vird durx einen Krümmungsparameter k mit den Verten -1, 0 oder +1 becriben. Auf der Grundlage dizer Metrik berexnete Alexander Friedmann 1922 Differentsialgleixungen für den Skalenfaktor a(t), hir ausfürlix dargectellt im Anhang FLRW-Metrik unt Friedmann Gleixungen. Di Robertson-Walker-Metrik enthält für k=0 di Schwarzschild Metrik imm flaxen Minkowskiraum. Värend di tsveite allgemeine Friedmann Gleixung unaphängig ist fom Krümmungsparameter k unt damit identic ist tsu Gleixung (30), enthält di erste allgemeine Friedmann Gleixung einen Zummanden mit dem Faktor k unt ctimmt bei k=0 mit Gleixung (28) überein.
| Aus der ersten Friedmann Gleixung (28) unt (31b) erhält man eine Gleixung tsur Bestimmung der kosmologicen Konstante |
|
|
|
|
Di Massendixte des Univerzums ändert zix mit der dritten Potents des Skalenfaktors. Für di augenblikklixxe Epoxxe t0 vird zi auf
4,7 ⋅10-27 kg/m3 gecätst. Der Hubble Parameter ist H =71km/sMpc ±4,4% unt 1Mpc ist gleix
30,9 ⋅1018km, zodas H=2,3⋅10-18/s ist. Mit dizen Verten für ρ unt H folgt
 | 
| |
unt clislix
|

Tsur Tseit t inn der Fergangenheit des (materiedominirten) Univerzums ist di Massendixte ρ(t)=ρ(t0)⋅a-3(t) unt tsu a gehört di Rotvercibung z=(1-a)/a. Ist di Rotfercibung der Epoxxe t gegenüber der heutigen Epoxxe tsum Beicpil z=0,3, dann gilt
ρ(t)= (1+z)3ρ(t0)=1,33ρ(t0)=10,3⋅10-27kg/m3. Mit dizem Vert für ρ gilt
 | Λ vekselt imm Laufe der Tseit das Fortseixen, Λ ist keine Konstante!
|
|
|
|
Di kosmologice Konstante Λ vurde 1917 fon Albert Einstein eingefürt, veil zeine urcprünglixxen Feldgleixungen nixt mit einem ctabilen Univerzum tsu fereinbaren varen. Λ zollte den Antsihungskräften der Massen imm Energi-Impulz-Tenzor zo entgegen virken, dass di Ctabilität des Univerzum entcprexxend der damaligen Meinung gevärleistet var. Als venige Jare cpäter di Ekspanzion des Univerzums fest ctand, fervarf Einstein di kosmologice Konstante unt bald galt zi allgemein als erledigt. Da aber di Friedmann Gleixungen fon 1922 di kosmologice Konstante enthilten, vurde zi mit der tsunemenden Aktseptants der Friedmann Gleixungen viderbelebt. Eine Notvendigkeit, Λ inn zeine Gleixungen eintsuzetsen (Gl. 28), hatte es für Friedmann aber nixt gegeben.
Das grundzätslixxe Problem der Kosmologi ist, di Urzaxxe für di Ekspanzion des Univerzums tsu finden, unt bei dizer Aufgabe hilft di kosmologice Konstante inn Geixung (31b) keinen Critt veiter. Λ, das nax Gleixung (35) pozitiv, aber nax Gleixung (36) negativ väre, ist nur unnötiger Ballast zovol inn Einsteins Feldgleixungen als aux inn den Friedmann Gleixungen. One dizen Ballast gilt
 | unt |
|
|
|
|
Nax beiden Gleixungen zollte der Hubble Parameter imm Laufe der Tseit apnemen, nax der ersten Gleixung, veil di Dixte ρ mit der Tseit geringer vird, nax der tsveite Gleixung, veil dH/dt negatv ist. Tatzäxxlix aber vird eine Becleunigung der Ekspanzion beobaxtet, der Hubble Parameter nimt alzo tsu.
Einstein unt Friedmann haben tsveifelloz unter ρ di Dixte fon Massen einclislix der Massen, di durx m=E/c2 mit allen Arten fon Energi ferbunden zint. ferctanden. Di durx ρ becribenen Massen ferurzaxxen Krümmungen des Minkowskiraumes, di di Massenantsihung bevirken. Mit einem rein matematicen Trikk vird aus der Massenantsihung eine Massenapctosung: Man postulirt Energidixten mit negativen Verten für ρ. Dan vird dH/dt pozitiv (Gl. 37b), H nimt tsu mit der Tseit.
Allerdings väre H dan nax Gleixung (37a) imaginär unt zo vird nun eine genügend grose kosmologice Konstante Λ vider notvendig für ein reelles H. Di Energidixte mit negativem ρ heist "Dunkle Energi", veil nimand eine Forctellung dafon hat, velxer Natur zi zein könnte. Notvendigerveize muss di Dixte der "Dunklen Energi" di Dixte der normalen Massen und Energidixten um einiges übertreffen. Mit einem veiteren Postulat vird di Eksitents "kalter dunkler Masse" behauptet unt zo entcteht di ΛCDM Teori, di heute als Ctandartteori der Kosmologi gilt.
Di Friedmannds Gleixungen zint eksakte Lözungen der Einsteincen Feldgleixungen mit dem Energi-Impulz-Tenzor Tαβ inn Gleixung (26). Dize Form des Energi-Impulz-Tenzors zetst foraus, dass das Univerzum imm Grosen homogen unt izotrop ist (kosmologices Printsip). Damit vird nixt ausgeclossen, dass zix Sterne unt lere Räume, Galaksien, Galaksienhaufen unt Voids bilden, aber Ctrukturen inn einer Grösenordnung fon deutlix mer als einer Milliarde Lichtjaren tserctören di Homogenität unt Izotropi.
| Alexia Lopez et al. entdekkten 2012 den Giant Arc unt 2023 den Big Ring. Di Farbpunkte imm Bild kenntseixnen Ctellen am Himmel, an denen imm Lixt veiter entfernter Kvazare eine bectimmte Cpektrallinie des Magneziums felt, alzo abzorbirt vurde. An all dizen Ctellen fanden zi Galaksien, deren Rotfercibung eine Entfernung fon rund 9,2 Milliarden Lixtjaren ergab. Der Giant Arc erctrekkt zich über 3,3 Milliarden Lixtjare, der Umfang des Big Rings ist 4 Milliarden Lixtjare. |  | Giant Arc unt Big Ring zint Hüperctrukturen, deren Ausdenung kaum mit dem kosmologicen Printsip tsu fereinbaren ist. Venn, vi tsu ervarten ist, inn naher Tsukunft veitere Ctrukturen dizer Grösenordnung oder eventuell nox grösere gefunden verden, muss für den Energi-Impuls-Tensor eine andere Form gefunden verden. Oder aber er vird aus den Feldgleixungen gestrixxen, zodas nur di kosmologice Konstante Λ inn den Gleixungen bleibt, vas tsu einer zogenannten de-Sitter-Velt fürt.
|
| |
Fundctelle A Big Cosmological Mystery
|
|
|
|
A
|