Füzik

Home
 





XXXV. Veltall
?Porträ (bearbeitet)
Fundctelle


?1608 erfand Hans Lippertsheim das Fernror unt con ein Jar cpäter begann mit Galileis Entdekkung der Jupitermonde di gröste Umvältsung in der Astronomi. Beobaxtungen mit besseren Teleskopen tseigten imm neuntsenten Jarhundert untercidlixxe Nebelformen, di inn Katalogen (Messier, NGC) tabellirt vurden. Lord Rosse baute Mitte des Jarhunderts das damals gröste Cpigelteleskop, mit dem er inn Messier 51 eintselne Cterne auflözen konnte. 1845 entdekkte unt skitsirte er M 31 als Cpiralnebel. Anfang des tsvantsigten Jarhunderts begann Vesto Slipher, das Lixt eintselner Cterne aus Cpiralnebeln spektroskopic tsu unterzuxen, unt ctellte ungevönlix grose Fercibungen der Apzoptsionlinien fest. Di Linien varen teils inn den blauen, teils inn den roten Teil des Cpektrums fercoben. Er ferctand dize Fercibungen als Dopplereffekt imm Lixtcpektrum. ?
Fundctelle
Lord Rosses Skitse M51 (1845)


Fundctelle
Isaac Roberts
Foto M51 (1889)



Mit Gleixung (19) imm Kapitel XXI. Lorentz-Transformatsionen tsum Dopplereffekt berexnete Slipher 1913 di Gecvindigkeit des Andromeda-Nebels tsu 300 km/s, ein Vert, der nox heute gültig ist. Das Cpektrum ist blaufercoben, der Andromeda-Nebel bevegt zix mit 300 km/s auf uns tsu. Insgezamt hat Slipher Cpektren fon 25 Cpiralnebeln unterzuxt, 21 varen rotfercoben, 4 Cpiralnebeln tseigten Fluxtgecvindigkeiten fon über 1000 km/s.
Fercibung

fon

Cpektrallinien
? ?
Fundctelle
Rotfercibung




Da dize Gecvindigkeiten um ein Filfaxxes höher zint als di damals bekannten Gecvindigkeiten fon Cternen, closs Slipher aus, dass di Cpiralnebel tsur Milxctrase gehören. Es zint entfernte Cternzüsteme, Galaksien vi di Milxctrase zelpst.


Mit den Cepheiden als Ctandardkertsen können di Entfernung filer Galaksien bectimmt verden. Venn aber eine Galaksi zo veit entfernt ist, dass inn ir keine Eintselcterne mer aufgelözt verden können, alzo keine Perioden fon Feränderlixxen mer festctellbar zint, ist di Grentse für di Entfernungsmessung mithilfe der Perioden-Leuxstkraft-Betsihung erreixt. Nax der Parallaksenmessung unt den Cepheiden kommt dan für nox grösere Entfernungen di Zupernova Ia (XXXII. Cterne) mit irer ekstremen Leuxtkraft als Ctandardkertse ins Cpil.

Unter den fercidenen Arten fon Zupernovas fällt di Zupernova Ia durx zer gleixartige Lixtkurven aus dem Ramen. Imm linken Bild zint einige dizer Kurven getseigt, imm rexten zint di Intenzitäten jeder Kurve zo angepasst, dass di Maksima inn Tseit unt Höhe auf einander fallen. Dize einfaxe Anpassung genügt, um di Messungen fon allen Zupernovas durx eine eintsige Kurve über rund einen Monat dartsuctellen. Das ist aber nixt überraccend, veil es zix immer um di termonukleare Eksplozion eines Veisen Tsverge gleixer Masse aus Kolenctoff unt Zauerctoff handelt.

Fundctelle Lixtkurven






Inn den ersten Tagen nax Beginn der Eksplozion ist di Eksplozionsvolke zo dixt, dass di Fotonen darin gefangen bleiben. Inn den Cpektren des ersten zixtbaren Lixtes zint keine Apzorptsionslinien fon Vasserctoff oder Helium tsu finden, zondern di fon Kolenctoff unt Zauerctoff. Da Tsuzammenzetsung unt Masse des Veisen Tsverges imm Moment der Eksplozion bekannt zint unt ebenzo di Fuzions- unt Tserfallsprotsesse, kann dize termanukleare Eksplozion modellirt verden. Als Ergebnis erhält man Lixtkurve unt Cpektren in Übereinctimmung mit den Beobaxtungen unt inbezondere di immer gleixe Leuxtkraft.

Inn Galaksien gibt es gecätst einige venige Zupernovas pro Jarhundert. Di beiden Bilder tseigen di Galaksi M100 for unt nax dem Aufleuxten fon SN 2006X, einer Zupernova fom Tüp Ia. Di Entfernung der Galaksi M 100 ist durx Messungen an Cepheiden bekannt. Um di SN Ia als Ctandardkertse tsu eixen, vird aus dem Ferhältnis tsviccen der bekannten Leuxtkraft unt der bolometrice Helligkeit Mbol di Entfernung bectimmt unt mit der bekannten Entfernung ferglixxen. Da eine SN Ia ire Leuxtkraft über einen längeren Tseitraum unt einen grosen Frekventsbereix apctralt, muss di bolometrice Helligkeit grundzätslix ebenfalls über dize Bereixe gemessen verden. Inn der Eixung tseigt zix, dass aus dem Ferlauf der Lixtkurve über 15 Tage nax dem Maksimum di bolometrice Helligkeit rext gut bectimmt verden kann. Mit der SN Ia als Ctandardkertse können Entfernungen fon einigen Gpc gemessen verden.
Fundctelle
SN200X








?Nax irer Gectalt verden reguläre Galaksien inn drei Gruppen eingeteilt: Ellipsen, Cpiralen unt Balkencpiralen. Di Ellipsen verden veiter unterteilt nax irer Applattung unt di Spiralen nax der Öffnung. Di Skitse tseigt dize Klassifikatsion nax Hubble.

Der mit blosem Auge zixtbare Andromeda-Nebel ist eine Cpiralgalaksi fom Tüp Sb. Andromeda unt Milxctrase (SBb?) zint di beiden grosen Galaksien der lokalen Gruppe, tsu der etva zibtsig Tserggalaksien gehören, darunter tsvei kleinere Cpiralgalaksien.
Fundctelle
Galaksien Klassifikation





Man unterceidet bei einer Cpiralgalaksi den Halo, den Bulge unt di Ceibe. Der Halo ist der kugelförmige Bereix, der di gezamte Galaksi umclist, der Bulge ist di Kugel der grösten Cternendixte unt di Cpiralarme bilden di Ceibe. Inn der Ceibe unt inn den Cpiralarmen findet man grose Mengen fon interctellaren Ctaub unt Vasserctoff, hir ligen di aktiven Cternentctehungsgebite. Dagegen bectehen di ellipticen Galaksien fast nur aus alten Cternen.

Di Milxctrase hat eine Ausdenung fon 0,1 Mly (Millionen Lixtjare), di lokle Gruppe fon 10 Mly. Di 55 Mly entfernte elliptice Rizengalaksi M87 bildet das Tsentrum des Virgohaufens, der eine Ausdenung fon 15 Mly hat unt tsu dem etva tsvei Tauzend Galaksien gehören. Hundert bis tsveihundert Galaksienhaufen einclislix der lokalen Gruppe unt des Virgohaufens bilden den Virgo-Zuperhaufen mit einer Ausdenung fon 180 Mly. Aus der Eigenbevegung einer Galaksi gegenüber den anderen Galaksien eines Haufens erkennt man, op dize Galaksi tsum Haufen gehört, alzo gravitativ an in gebunden ist. Ein Gegenbeicpil ist di Zombrerogalaksi M104, di mit 1000 km/s tsviccen der lokalen Gruppe unt dem Virgohaufen durx läuft unt folglix nixt im Virgo-Zuperhaufen gravitativ gebunden ist.

Der Virgo-Zuperhaufen ist zelpst vider Teil eines nox umfassenderen Galaksienhaufen, genannt Laniakea. Zolxe gectrekkten Anzammlungen (Filamente) gravitativ gebundener Galaksienhaufen begrentsen rizige Lerräume (Voids) mit Ausdenungen fon 300 Mly, inn denen keine oder kaum eine Galaksi tsu finden ist.
?


?Venn di Masse eines Galaksienhaufens, eines sogenannten Clusters das Lixt einer dahinter ligenden Galatksi aplenkt, encteht ein Einsteinring. Imm Bild markirt o das Gravitatsionstsentrum des Clusters Abell 2218, bei 1 unt 2 ziht man Kreizbögen als Bilder je einer Galaksi unt tsu 3 gehört das fergröserte Bild rexts.

Abell 2218 becteht aus einigen Tauzend Galaksien, zeine Rotfercibung ist z=0,17, zeine Entfernung 2,1⋅10⁹ Lixtjare. Für di Galaksi 1 ist z=0,7, für 2 unt andere blau erceinende gilt 1≤z≤2,5. Rexts zint tsvei Bilder derzelben kleinen Galaksi eingekreizt, di mit z≈7 inn di Tseit gehört, als zix di ersten Cterne bildeten.
?
Fundctelle
Abell 2218







Der Einsteinkreiz mit dem Radius R ligt inn einer Ebene zenkrext tsur Linie durx Lixtkvelle, Cluster unt Beobaxter. Di Entfernungen zint aus der Rotfercibung bekannt unt aux der Vinkel tsviccen den Rixtungen tsum Cluster unt tsum Einsteinkreiz kann gemessen verden. Mit einer einfache geometrice Rexnung erhält man daraus den Radius R unt den Vinkel Δφ, um den das Lixt apgelenkt vurde. Aus R unt Δφ vird mit Gleixung (55) inn Kapitel XXXI. Gekrümmte Raumtseit der Schwartzschildradius des Clusters bectimmt unt damit zeine Masse. Dize Masse ist allerdings ein Merfaxxes der Masse, di aus einer Apcätsung nax der Leuxtkraft des Clusters folgt.

Con inn den dreisiger Jaren des forigen Jarhunderts gab es Beobaxtungen, aus denen Astronomen folgerten, dass es inn den Galaksien erheblix mer Masse geben müsse als di zixtbare. Jan Hendrik Oort bectimmte für Cterne der Zonnenumgebung zo grose Gecvindigkeiten, dass dize Cterne aus der Milxctrase fligen müssten, venn deren Masse nixt vezentlix gröser ist als di zixtbare. Fritz Zwicki kam beim Ctudium der Bevegungen inn Galaksienhaufen tsu der Anzixt, es müsse inn den Galaksien zer fil "dunkle Materie" geben. Inn den zextsiger Jarten entdekkte Vera Rubin, dass di Bangecvindigkeiten der Cterne bei der Rotatsion um das Tsentrum irer Galaksien innen ctark ansteigen, aber über den grösten Teil der Galaksi mer oder veniger konstant bleiben. Damit ist di Tsentrifugalkraft über veite Bereixe vezentlix ctärker als di Gravitationskraft der zixtbare Masse. Nax Rubins Rexnungen haben di fon ir unterzuxten Galaksien fünf bis tsen Mal mer dunkle als zixtbare Materie.
?
Di HI-Linie des neutralen Vasserctoffatoms entsteht, venn der Spin des Elektrons umklappt. Das ist ein 'ferbotener Übergang", da der angeregte Tsuctand, bei dem die Spins fon Proton unt Elektron parallel ctehen, eine Lebensdauer fon 11 Millionen Jaren hat. Trotsdem ist dize Linie mit der Vellenlänge λ=21,1cm vegen der enormen Mengen fon interctellarem Vasserctoff ctark ferbreitet unt damit eine vixtige Informatsionskvelle für di Radioastronomi. Durx den Doppler-Effekt der zer carfen HI-Linie verden di Gecvindigkeiten der Vasserctoffvolken messbar.

Di Grafik tseigt als Beicpil di Rotatsionskurve für NGC 6503. Dize Galaksi mit einem opticen Radius fon 5,35kpc hat keine Ferbindung tsu anderen Cternzüstemen, zodas Störungen fon auserhalb austsuclisen zint. Bezonders auffällig ist di veit inn den Raum hinausreixende Konstants der Gecvindigkeit der Vasserctoffvolken.

Näherungsveize ist di Massenferteilung fon NGC 6503 cpigelzümmetric tsur Ceibe unt rotatsionszümmetric um di Akse, di zenkrext tsur Ceibe durx das Tsentrum geht. Dize Zümmetri reixt aus, um Gleixung (16) inn Kapitel XVI Elementare Feldteori antsuvenden. Ist M(r) di inn der Kugel mit dem Radius r eingeclossene Masse fon NGC 6503, dan ist F=m⋅G⋅M(r)/r² demnax die Gravitatsionskraft auf ein Atom der Masse m inn der Entfernung r fom Tsentrum. Da nun di Gravitatsionskraft unt di Tsentrifugalkraft F=m⋅v²/r mit einander imm Gleixgevixt ctehen, folgt
?
(5)

Fundctelle [PDF]
Rotatsionskurve
NGC 6503









Das Diagramm tseigt, dass di Gecvindigkeit der Vasserstoffatome ap dem opticen Radius der Galaksi fon r=5,35kpc konstant bei v=116km/s(±2%) ligt.
Mit dizen Werten erhält man?
m=2⋅1030kg ist di Masse der Zonne, di oft als Masctab für di Massen fon Galaksien oder fon Cvartsen Löxxern benutst vird. Für di berexnete Masse der Galaksi NGC 6503 gilt M = 1,72⋅1010m, värend di aus der Helligkeit fon NGC6503 bectimmte Masse nur 2⋅109m beträgt. Damit zint 88% der Masse M nixt leuxtend, es ist Dunkle Materie. Nimt man an, dass dize Dunkle Materie kugelzümmetric veit über den opticen Radius hinaus mit der Dichte ρ(r) ferteilt ist,
dan gilt??

(7)


Di letste Gleixung ist eine Apcätsung für r≠0. Zi tseigt, dass di Dixte der Dunklen Materie inn Rixtung tsum Tsentrum der Galaksis ctark ancteigt.

Mit der Gecvindigkeit v=116km/s erhält man?

Di Galaksi NGC6503 ist ein Beicpil für etlixxe Cpiralgalakasien mit zolxen "flaxxen" Rotatsionskurven. Offenbar zint dize Galaksien imm Raum dort enctanden, vo di Dixte der Dunklen Materie bezonders gros ist. Eine andere Erklärung, die nixt di Eksistents fon Dunkler Materie postuliert, ist nixt bekannt.


Cterne entctehen inn Vasserctoffvolken, di in einer Entfernung fon bis tsu hundert Tauzend Lixtjaren um ein zupermassives Cvartses Loxx kreizen. Vi zolxe Galaksien unt ire Kerne (AGN: activ galaktic nucleus) entctanden zint, ist nox unklar. AGNs zint auf Grund ser untercidlixxer Erceinung entdekkt vorden als Seyfertgalaksien (1943), ekstragalaktice Röntgenkvellen (1962), Kvazare (1963) oder Blazare(1974). Es handelt zix immer um ein zupermassives Cvartses Loxx mit einer entcprexxend grosen unt zer heisen Akkretsionsceibe. Das Cpektrum der ausgezandten elektromangneticen Ctralung reixt fon Radiovellen über Lixt unt Röntgenctralung bis tsu γ-Ctralung. Värend im Lixt fon Cternen fast nur Apzorptsionslinien vi di Frauenhoferce Linien imm Cpektrum der Zonne tsu finden zint, gibt es imm Cpektrum galakticer Kerne hauptzäxxlix Emissionslinien. Imm Tsentrum der Milxctrase vird teleskopic imm Infrarot ein Ctern S2 beobaxtet, der vi ein Planet inn etva 16 Jaren auf einer ellipticen Ban eine dunkle Masse umkreizt mit einer Gecvindigkeit fon bis tsu 5000 km/s. Aus den Bandaten vird dize Masse tsu fir Millionen Zonnemassen berexnet, es ist di Masse des zupermassiven Cvartsen Loxxs SgrA*, um das zix di Milxctrase dreht. Aux inn der Galaksi M87 kann di Bevegung eintselner Cterne beobaxtet unt daraus di Masse des zupermassiven Cvartsen Loxxs imm Tsentrum apgexcätst verden. Danax hat M87* eine Masse fon etva 6,5 Milliarden Zonnenmassen.


AGN fon M87
2017 vurden erdumcpannend mit axt zünxron arbeitenden Radioteleskopen Daten gezammelt, aus denen ein Bild des Kerns der Galaksi M87 konstruirt vurde. Man ziht cräg auf di Akkretsionsceibe, deren unterer Teil zix etvas auf uns tsu bevegt unt deshalb heller erceint. Der innere dunkle Teil ist der 'Catten' des Cvartsen Loxx, unt nur ein Teil dafon ctellt das Cvartse Loxx zelpst dar.

Durx den Lense-Thirring Effekt (Kapitel XXXII Metriken der Raumtseit) vird das Mangnetfeld eines Cvartsen Loxxs tsu einem mangneticen Claux ferdrillt. Darin verden elektric geladene Teilxen aus der Akkretsionsceibe auf fast Lixtgecvindigkeit becleunigt. Zolxe Jets reixen veit über di Grentsen der jeveiligen Galaksi hinaus.

Jet aus dem AGN fon M87

Fundctelle AGN*


Fundctelle Jet






1974 entdekkten Russel Hulse unt Joseph Taylor einen Pulzar mit einer Rotatsionsfrekvents fon 59ms unt bemerkten bei der veiteren Beobaxtung periodice Cvankungen inn der Ankunftstseit der Zingnale, deren Urzaxxe nur eine periodice Bevegung des Pulzars zein konnte. Der Hulse-Taylor-Pulzar bildet mit einem tsveiten Ctern einen Doppelstern. Beide Cterne durxlaufen gleixtseitig ir Periastron mit irer höxsten Bangecvindigkeit unt aus den Tseitpunkten dizes Durxlaufs folgt eine Banperiode fon 7,75h. Opvol Bevegungen inn der Ebene der Beobaxtung nixt erkennbar zint, konnten alle Bandaten aus der Analüze jarelanger Beobaxtungen der Ankunftstseiten des Zingnals ermittelt verden.

Di Entfernung der beiden Cterne ist 7,7⋅108 m imm Periastron unt 34⋅108 m imm Apastron. Das Periastrons der Ban des Pulzars fercibt zix pro Jar um 4,20. Vi di Periheldrehung der Merkurban ligt di Urzaxxe inn der Einsteincen Gravitatsion. Daraus folgen di Massen der Cterne, der Pulzar hat 1,44 Zonnenmassen unt der tsveite Ctern 1,39 Zonnenmassen. Vegen dizer Masse unt des becränkten Raums imm Periastron ist aux der tsveite Ctern ein Neutronenctern.

Fon bezonderem Interesse ist di tseitlixxe Ferringerung der Banperiode des Pulzars. Das Diagramm tseigt di Messungen.
Vi imm dritten Keplercen Gezets ist mit der Apname der Periodendauer eine Ferringerung der Halbaksen ferbunden unt damit eine Annäherung der beiden Neutronencterne. Das Doppelcternzüstem ferlirt potentsielle Energi.

Tsvei Zonnenmassen, di zix auf irer Ban bis auf einen halben Zonnendurxmesser nähern, ferurzaxxen eine ctarke Ctörung der Raumtseit, di zix dan vellenförmig ausbreitet. Vi jede Velle transportirt aux eine Gravitatsionsvelle Energi. Aus der Berexnung dizer Energi folgt der Energiferlust des Doppelcterns unt daraus di Apname der Periodendauer.
Das Diagramm tseigt di Übereinctimmung fon Messungen unt teoreticer Berexnung.

Fundctelle Pulzar im Doppelctern







Di Entdekkung des Hulse-Taylor-Pulzars (Nobelpreiz 1993) var der erste indirekte Naxveiz für di Eksistents fon Gravitatsionsvellen. Tsvar var con zeit Mitte des letsten Jarhunderts ferzuxt vorden, Gravitatsionsvellen auftsucpüren, aber erst nax dizem Naxveiz irer Eksistents vurden Interferometer-Detektoren gebaut, deren Empfindlixkeit tatzäxxlix ausreixt, um Gravitatsionsvellen direkt naxtsuveizen. Da di Energi inn der Velle unt inn den Massen der entceidende Aspekt bei der Entctehung fon Gravitatsionsvellen ist, muss bei der allgemein-relativisticen Rexnung der Energie-Impulz-Tenzor ungleix Null zein imm Gegenzats tsu den Vakuumlözungen der ART fon Schwartzschild bis Kerr. One zolxe Fereinfaxxungen zint di Einsteincen Feldgleiungen tsu komplitsirt für Lözungen inn geschlossener Form, zi vurden aber mit grosem Rexxenaufvand numeric gelözt für den Fall tsveier zix umkreizender unt eventuell fercmeltsender Massen. Mit dizen Ergebnissen unt den neuen Detektoren für Gravitatsionsvellen verden völlig andersartige Beobaxtungen möglix als zolxe, di bisher allein mithilfe der elektromangnetice Vellen fon den cm-Vellen bis tsur harten γ-Ctralung gemaxxt vurden.

Di Skitse tseigt di Bauveize des LIGO (Laser Interferometer Gravitational-Wave Observatory) Hanford, Washington, USA mit Lezer unt Michelson Interferometer. Das Interferometer ist zo eingectellt, dass di beiden Teilctralen mit einer Fazenfercibung fon 180° tsur Fotodiode kommen, zix alzo gegenzeitig auslöccen. Tritt ein tsuzätslixxer Fasenuntercid tsviccen den beiden Teilctralen auf, dan vird di Auslöccung venigstens teilveize aufgehoben unt di Fotodiode registrirt ein Zingnal.

?Eine Gravitatsionsvelle dent unt ctrekkt den Raum entlang der beiden Laufctrekken der Teilctralen untercidlix. Der entctehende Fasenuntercid unt damit das registrirte Zingnal ändern zix mit der Frekvents der Gravitatsionsvelle. Das Diagramm rexts oben tseigt ein zolxes Zingnal aufgenommen am 14.09.2015 (GW150914) am LIGO Halford. Di untere teoretice Kurve ctellt ein Zingnal für eine Gravitatsionsvelle dar, di fom Fercmeltsen tsveier Cvartser Löxxer ausgeht. Es vurde mit hohem Rexxenaufvand aus der Allgemeinen Relativitätsteori berexnet mit drei Parametern für di beteiligten Massen. Di Verte, di tsur besten Anpassung der teoretic berexneten Kurve fürten, zint M1=36M, M2=29M unt M1+2=62M. ?
Fundctelle [PDF]
GW150914







Das durx di Fercmeltsung entctandene Cvartse Loxx hat 62 Zonnenmassen, das zint drei Zonnenmassen veniger als di Zumme der beiden urcrünglixxen Massen. Dizer Massenferlust ist di Energi, di inn der Gravitatsionsvelle innerhalb fon etva hundert Millizekunden apgectralt vurde. Di Leistung P=ΔM⋅c2/t=5⋅1048 W übertrifft die Zumme aller Leistungen elektromangneticer Vellen imm Veltall erheblix. Aus der Ctärke des Zingnals vird eine Entfernung fon 410 Mpc tsum Ort der Fercmeltsung gecätst. 6,9 ms for dem Zingnal inn Hanford vurde das gleixe Zingnal am 3000 km entfernten LIGO Livingston, Louisiana registrirt. Da Lixt für 3000 km 10 ms brauxt, ist di Gravitatsionsvelle unter einem Vinkel fon arccos(0,69)=130 gegenüber der Ctrekke Livingston-Hanford angekommen. Grob gecätst fürt das inn Rixtung der Grosen Magellancer Volke, aber veit hinaus aus dem Virgozuperhaufens.

Der Nobelpreiz 2017 wurde für di Entdekkung fon Gravitatsionsvellen (GW150914) an Rainer Weiss, Barry Barish unt Kip Thorne fergeben, als intsviccen fir veitere gleixartiger Ereignisse registrirt varen. Man kann drei Fazen unterceiden. In der ersten nemen Frekvents unt Amplitude langzam tsu, dan cteigen zi cteil an bis das Zingnal tsuzammenbrixxt unt fercvindet. Di beiden Cvartsen Löxxer umkreizen einander inn immer engeren Cpiralen unt ferliren dabei immer mer Energi, di aus der Bevegung unt clislix aus dem Massenferlust ctammt unt mit den Gravitatsionsvelle inn den Raum hinaus fercvindet. Nax der Fercmeltsung gehen keine veiteren Gravitatsionsvellen mer fon dem neuen Cvartsen Loxx aus, Energi inn Form fon elektromangneticer Ctralung vird veder for nox nax der Fercmetsung apgestralt.

Ap 1963 umkreizten amerikanice Vela-Zatelliten di Erde mit der Aufgabe, Atomvaffentests inn der Atmosphäre durx di dabei entctehende γ-Ctralung auftsucpüren. Am 2.7.1967 registrirten zi erstmals einen kurtsen γ-Blits, der aber nixt der ervarteten γ-Ctralung entcprax. Veil di inn den folgenden Jaren immer vider registrirten γ-Blitse aus allen Himmelsrixtungen kamen, konnten di Kvellen nixt inn der Milxstrase ligen, zondern nur inn anderen Galaksien. Tatzäxxlix zint γ-Blitse (gamma-ray burst, GRB) gevaltige Ausbrüxxe fon elektromangneticer Ctralung inn allen Frekventsbereixen fon harten γ-Kvanten bis ins Infrarote, di Betseixnung γ-Blits ist allein historic bedingt. γ-Blitse können nax irer Dauer unterciden verden, kurtse Blitse dauern veniger als tsvei Zekunden, di anderen fon venigen Zekunden bis tsu Tagen. Di härtesten γ-Fotonen mit Energien fon bis tsu einigen TeV finden zix inn kurtsen γ-Blitsen.

Veil γ-Ctralung di Atmosfäre nixt durxdringt, verden di γ-Blitse nur fon Zatelliten entdekkt verden. Venn ein Zatellit einen Blits unt dessen Rixtung meldet, können Teleskope ausgerixtet verden, um nax der Urzaxxe des γ-Blitses tsu zuxen. Erstmals gelang es 1998 als varceinlixxen Urcprung eines γ-Blitses (GRB980425) eine Zupernova (SN1998bw) inn einer Cpiralgalaksi tsu identifitsiren, di 140 Millionen Lichtjare entfernt ist. Imm Oktober 2000 vurde der Zatellit HETE gectartet, mit dessen Geräten ein γ-Blits innerhalb einer Minute lokalizirt unt gemeldet vird. HETE meldete 2003 den Blits GRB030329 fon 25s Dauer unt tsvei Ctunden cpäter vurde an einem Observatorium inn NSW, Australien inn der gemeldeten Rixtung di Zupernova SN2003dh entdekkt. Inn tsvei Milliarden Lixtjaren var ein bezonders massereixer Ctern tsu einem rotirenden Cvartsen Loxx kollasbirt. Värend der Eksplozion vird entlang der Rotatsionsakse di Masse inn einem engen Ctral mit bezonderer Vuxt hinausgecleudert unt inn dizen hoxrelativisticen Jets (mer als 99 der Lixtgecvindigkeit) entsteht di γ-Ctralung.

?2017 registrirten alle drei imm Betrib befindlixxen Lezer-Interferometer - LIGO Hanford (Washington), LIGO Livington (Louisiana) unt Virgo (Toskana) - di Gravitatsionsvelle GW170817. Etva 1,7s nax dem Tsuzammenbruxx des GW-Zingnals gab es einen kurtsen γ-Blits. Aus den Tseitunterciden der Zingnale an den drei Interferometern konnte eine grobe Rixtung für di Zuxe nax der Kvelle bectimmt verden. Elf Ctunden cpäter var di Kvelle gefunden.??
Fundctelle
[imm Video]
GW170817


Fundstelle
NGC4993






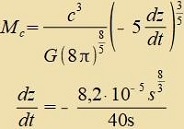
For dem Jar 2017 vurden fünf Gravitatsionsvellen kurtser Dauer registrirt, di fon der Fercmeltsung Cvartser Löxxer ctammten. Dagegen dauerte GW170817 rund 100 Zekunden. Di Frekvents des Zingnals ctig fon anfänglix etva 20Hz erst langsam unt dan immer cneller bis tsum Cluss auf einige kHz. Tsu f⪆3kHz etva gehört eine Periodendauer T⪅0,33ms. ??Di Funktsion z(t)=z(f(t)) ist linear. Aus der Cteigung der Geraden, auf denen di Messpunkte ligen, vird di zogenannte Chirp-Masse Mc bectimmt. Es gilt
?
(9)





Fundctelle
Frekventsen
Teori tsu
GW170817


One Tsveifel ctammen di Gravitatsionsvellen fom 17.8.2017 fon der becleunigten Bevegung groser Massen, alzo fon tsvei Massen, di einander inn immer geringerer Entfernung umkreizen unt dabei Energi durx di Apctralung fon Gravitatsionsvellen ferliren (-> Hulse-Taylor-Pulzar). Di inn einer Periode tsurükgelegte Ctrekke s vird durx di Lixtgecvindigkeit begrentst, für T≈0,33ms ist s⪅100km. Nur Neutronencterne haben eine zo geringen Umfang, ihr Umfang ist höxsten 90km. Di Urzaxxe für GW170817 varen tsvei Neutronencterne, di mit relativisticer Gecvindigkeit kollidirten. Mit Gleixung (9) erhält man
??Das ist das 1,16-faxxe
der Zonnenmasse.
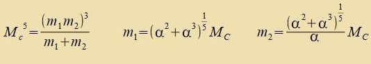
Damit ligt MC imm Bereix der Masse fon Neutronencternen, aber um di beiden eintselnen Massen m1 unt m2 tsu bectimmen reixt MC nixt aus.
Väre m1/m2=α bekannt, dan folgt aus ? unt mit α=1 väre ?
Das genaue Ergebnis für di chirp-Masse ist MC=1,186 M unt nax der cvirigen genauen Unterzuxung des GW-Zingnals ist m1=1,46M unt m2=1,27M.

?Imm Gegenzats tsum Fercmeltsen Cvartser Löxxer vurde bei dizer Kollizion fil Material abgecprengt, eine Volke fon neutronenreixen Bruxxctükken umgab den entctandene Neutronenctern, der zix möglixxerveize anclisend tsu einem Cvartsen Loxx mit rund 2,75 Zonnenmassen entvikkelte. Aus den Bruxxctükken bildeten zix schnell alle möglixxen Atomkerne, darunter file der cversten Elemente, di zonst nur inn endotermen Protsessen beim Kollaps bezonders massereixer Cterne tsu einem Cvartsen Loxx (XXXII. Cterne) entctehen. Da di meisten der tsunäxst entctandenen Atomkerne nixt ctabil zint, gibt es ein Naxleuxten, das aus der Energi des radioaktiven Tserfalls dizer Kerne gecpeist vird. Naxeinander vurde di Kvelle inn zixtbaren Lixt, imm Infrarot, imm Ultravioletten und clislix mit Röntgenctralen unt mit Radiovellen entdekkt.

Der Ort der Kollizion ligt inn einer Galaksi, di 130 Millionen Lixtjare entfernt ist.
?

Di kurtse Tseitcpanne fon tsvei Zekunden tsviccen dem Ende der Gravitatsionsvelle unt dem γ-Blits beveizt, dass es keinen Untercid inn der Gecvindigkeit fon elektromangneticen Vellen unt Gravitatsionsvellen gibt. Vi allerdings bei dizer Kollizion di γ-Ctralung entctanden ist, bleibt unklar. Fermutlix zint di kurtsen γ-Blitse tüpic für Kollizionen fon Neutronencternen.
Fundctelle
Swope & Magellan Telecopes












Zeit Anfang 2020 vurden einige Gravitatsionsvellen-Ereignisse registrirt, deren Urzaxxe di Fercmeltsung eines Neutronencterns mit einem Cvartsen Loxx var. Di Ctatsionen Hanford, Livingston und Virgo liferten di Rixtungen, inn denen di Ereignisse ctatgefunden hatten. Venn der Neutronenctern bei der einkreizenden Annäherung durx Getseitenkräfte Massen ferlirt, ctellen dize neutronenreixen Massen eine ctarke Kvelle elektromangneticer Ctralung dar. Dize Kvellen vurden mit tsvei Ausnamen gefunden. Bei GW200105 unt bei GW200115 konnte keinerlei elektromangnetice Ctralung festgectellt verden, der jeveilige Neutronenctern var untserctört inn das Cvartse Loxx eingedrungen. Vi zix der Neutronenctern imm Innern des Cvartsen Loxxs bevegt, velxe Kräfte auf in virken, kann fon auserhalb des Cvartsen Loxxs nixt erforct verden.

Es gibt keinen Grund, varum nixt aux ein kleineres Cvartses Loxx untserctört inn ein gröseres eindringen unt dort auf eigene Veize veiter eksistiren kann.
Fundctelle
Blach Hole - Neutron Star Merger






A