Füzik

Home
 





XXXVII. Kosmos inn einem Cvartsen Loxx?
? Matrjocka
Fundctelle


Für ein Cvartses Loxx gilt dizelbe Betsihung tsviccen dem Schwarzschild-Radius R unt dem Volumen V vi für eine Kugel inn der euklidicen Geometri.

Unter dizer Forauszetsung gibt es eine eindeutige Betsihung tsviccen der Masse M, dem Radius R unt der Dixte ρ eines Cvartsens Loxxs.

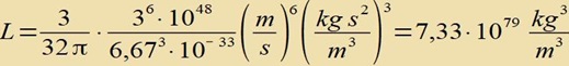
Es gilt mit(fgl. Gleixung (6) imm
Kapitel XXXVI Urknall)
(1)




(2)


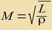
Zolange das Produkt ρ⋅M2 kleiner bleibt als di Konstante L, können di Masse M unt ire Dixte ρ unaphängig fon einander belibige Verte annemen. Venn aber M unt/oder ρ zo tsunemen, dass ρ⋅M2 gleix L vird, dan bildet di Masse ein Cvartses Loxx unt durx di Betsihung ρ⋅M2=L zint nun ρ unt M unlözbar mit einander ferbunden. Venn M tsunimt, nimt ρ ap, dagegen kann ρ nixt gröser verden, veil keine Masse aus dem Cartsen Loxx entveixen kann. Di Konstante L ist eine obere Grentse für das Produkt ρ⋅M2. Daraus folgt:

Ein Cvartses Loxx mit der Dixte ρ hat di Masse alzo

(3)



Einige Beicpile
?

ρKG ist di Dixte eines Kvark-Gluon Plasmas




ρHH ist di Dixte inn der Fotosfäre der Zonne.




ρK ist di mittlere Dixte des Kosmos.
(4)




(5)




(6)


Inn den Gleixungen (4), (5) unt (6) zint di Dunkle Materie unt di tsur Enerergi gehörige Masse nixt berükzixtigt, zodas di Dixten möglixxerveize um einen Faktor tsu klein zint, der aber zixxer kleiner als 100 ist. Dan wären di Massen um einen Faktor 10 tsu gros berexnet. Am Gezamtbild ändert six dadurx aber nixts Vezentlixxes.

Für di Schwarzschild-Radien gilt?2>
??






(7)


(8)


MKG ist etva di dreifaxxe Zonnenmasse, der Radius RKG ist rund 1km. Das entcprixxt dem kleinsten bekannten Cvartsen Loxx. Bei der Temperatur T=5700K hat das Vasserctoff-Helium-Plasma inn der Fotosfäre der Zonne di Dixte ρHH. Das ist di gleixe Dixte vi tsu Beginn der Rekombinatsionsära inn der Urknallteori (fgl. Urknall, Rekombinatsion). Di Masse MK veixt nixt fon der gecätsten (zixtbaren) Masse des Kosmos ap (Wikipedia: ≈ 1053kg). Für den Radius des Kosmos gibt Wikipedia an >45 Milliarden Lj=4,3⋅1026m, alzo etva das Doppelte fon RK=2,31⋅1026m.

Nax dem Ctandardmodell der Kosmologi hatte 10-4s nax dem Urknall das Univerzum eine Ausdenung fon 1014m unt dizelbe Masse vi heute, alzo di Masse MK. Da di Ausdenung der Univerzumsmasse innerhalb ires Schwarzschild-Radius RK lag, entctand ein Cvartses Loxx.

Nax der Urknallteori müsste das Univerzum zeit t=10-4s imm Innern eines Cvartsen Loxxs ligen.


Värend nax dem Ctandardmodell di gezamte Masse des Univerzums inn 10-4s aus dem Nixts entctanden ist, vird hir angenommen, dass der Kosmos inn einem gröseren Univerzum als ctellares Cvartses Loxx etva mit der Masse MKG (Gl. 4) entctanden ist unt dan ctändig mer oder veniger Masse aus dizem Univerzum aufnimt. Di tseitlixxe Entvikklung des Kosmos durxläuft ap einer Kvark-Gluon-Faze di gleixen Tsuctände, di aux inn der Urknallteori angenommen verden, zi ist aber nixt bectimmt durx eine ekstrapolirte Hubble-Tseit, zondern hängt ap fon der unregelmäsigen Aufname fon Massen aus dem umfassenden Univerzum. Damit ferbunden ist nax den Gleixungen (1) eine Ferringerung der Dixte unt Fergröserung des Volumens. Der Kosmos ekspandirt, di Vellen der elektromangneticen Ctralung, di imm frühen Kosmos den Hauptteil der Energi unt Masse ausmaxxt, verden auseinander getsogen, zodas di Ctralung an Energi ferlirt. Da Ctralung unt Massen nox imm termicen Gleixgevixt ctehen, zinkt di Temperatur des Kosmos. Bei 5700K ist di Masse des Kosmos auf eine halbe Billion Zonnenmassen (Gl. 5) angevaksen unt der Radius auf den Tsenten Teil eines Lixtjares (Gl. 8b). Der Kosmos nimt mer Masse auf, di Dixte vird geringer, di Ekspanzion geht veiter unt di Temperatur fällt bis bei etva 3000K Masse unt Ctralung entkoppeln. Di Masse des Kosmos becteht nun aus neutralen Atomen (unt Dunkler Materie) unt di Ctralung überdauert als Hintergrundctralung ungectört, aber ctändig langvelliger verdend di Jarmilliarden. Di Hintergrundctralung (CMB imm Kapitel Urknall) ist das früheste eksperimentelle Ergebnis überhaupt, värend es über di Tseit dafor nur rein teoretice Überlegungen gibt. Mit z=1100 ist di Rotfercibung der Hintergrundctralung ctärker als di fon jedem anderen Ereignis imm Kosmos.

Venn di Punkte einer Messreihe erkennbar auf oder nahe einer glatten Kurve ligen, ist es immer möglix, mit einigen Parametern di Kurve als analütice Funktsion dartsuctellen. Für das CMB Temperatur Cpektrum der Planck Collaboration gelingt das mit zeks Parametern, denen dan auf der Grundlage der ΛCDM Teori bectimmte Bedeutungen tsugevizen verden. Darüber creiben di Autoren zelbst: "many of the ingredients of the model remain highly mysterious from a fundamental physics point of view". Bezonders müsteriöz ist di Dunkle Energi, di 68% des Kosmos ausmaxxen zoll, onedas es eine Forctellung dafon gibt, voraus dize Dunkle Energi bectehen könnte. Der Ausgangspunkt der Urknallteori, das Auseinanderdriften der Galaksien, ferlangt eine Erklärung, vird aber mit der unerklärbaren Dunklen Energi nur ins Reix der Müsterien fercoben. From a fundamental physics point of view gibt es eine andere Erklärung:


Der Kosmos als Cvartses Loxx imm Univerzum hat einen Drehimpulz. Venn er neue Masse aufnimt, vird der Horitsont erveitert unt di Tsentrifugalkraft drükkt Masse in den Raum tsviccen altem unt neuem Horitsont. Der Kosmos vird bei geringerer Dixte veiter aufgebläht unt di Entfernungen tsviccen den Galaksien verden gröser. Veil mit jeder Massenaufname aux di Oberfläxxe väkst, vird di Varceinlixkeit neuer Massenaufname gröser, di Ekspanzion vird becleunigt.


Mit hundert Milliarden Zonnenmassen con tsu Beginn der Rekombinatsionsära (Gl. 13) ist der Kosmos als Cvartses Loxx bei veitem gros genug, um aux Cvartse Löxxer mit einigen Tsentauzend Zonnenmassen aus dem umgebenden Univerzum auftsunemen (fgl. Aufname inn Cvartses Loxx). Inn der vasserctoffreixen Umgebung vaksen zi dan tsu zupermassiven Cvartsen Löxxern heran, di als zer frühe Kvazare unt AGNs früher Galaksien auftreten.




Fergleix tsviccen Friedman ΛCDM (Urknallteori) unt Cvarts-Loxx-Kosmos.

ProblemUrknallteoriCvarts-Loxx-Kosmos

Herkunft fon Masse unt Energiaus dem Nixts ???aus dem umgebenden Univerzum
Grund für das Felen fon Antimaterie???felt con imm umgebenden Unverzum
Massenferhältnis leixter KernePrimordinale Nukleozüntezeist das gleixe Ferhätnis vi imm umgebenden Univerzum
Grund für di EkspanzionDunkle Energi ??? Drehimpulz des CL-Kosmos
Grund für di Becleunigung der EkspanzionDunkle Energi ???Eine grösere Oberfläxxe des CL-Kosmos erhöht di Massenaufname.
Entctehung zer früher Kvazarebisher rätselhaftDer CL-Kosmos nimt con zer früh Cvartse Löxxer auf.



Es gibt einige Artikel, inn denen ein Cvartses Loxx mit der Schwarzschild-de-Sitter Metrik oder der Kerr-de Sitter Metrik becriben vird. Dabei handelt es zix aber immer um Cvartse Löxxer imm Veltall, ni um den Kosmos als ein Cvartses Loxx imm Univerzum. Insbezondere vird - zo veit ix veis- nirgends auf di mit der Rotatsion ferbundene Tsentrifugalkraft imm Innern eines Cvartsen Loxxs eingegangen.

Nur zo nebenbei: Venn Masse unt Energi cpontan aus dem Nixts entctehen, vi di Urknallteori annimt, dan gibt es keinen Grund antsunemen, das könne nur ein eintsiges Mal gecehen. Es sollte alzo belibig file Parallel-Univerzen geben, darunter eventuell aux Univerzen aus Antimaterie. Ver mag, kann den Faden veitercpinnen.




A