FLRW-Metrik unt Friedmann-Gleixungen |
| Inn der dreidimenzionalen Hüperebene | ![]() | des ℝ4 vird das Element | ![]() | umgecriben inn r, φ,θ |
| mit den Koordinatentransformatsionen |
| Man erhält tsunäxst für di dxi |
![]() | Venn di Kvadrate der dxi addirt verden, heben zix alle gemiccten Glider dr⋅dφ, dφ⋅dθ unt dθ⋅dr gegenzeitig auf. Es bleibt
|
| Mit | ![]() | folgt clislix |
|
| Das Linienelement vird nun gebildet aus tseitlixxem unt räumlixxem Anteil |
|
![]() | mit den neuen Betseixnungen x0=ct, x1=r, x2=Θ und x3=φ. |
| Aus dem Linienelement lizt man ap unt veil giigii=1 zein muss, folgt | ![]() |
|
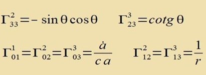
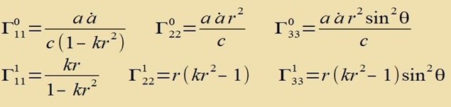
| Di Christoffelzümbole | | tsu dizer Metrik zint |
![]() | ![]() | Alle veiteren Christoffelzümbole zint gleix 0. |
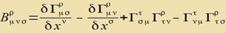
![]() | Der Riemannce Krümmungstensor vird ferjüngt tsum Riccitenzor |
|

![]() |
|
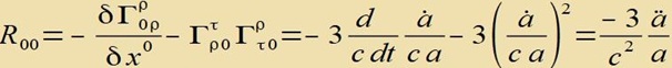
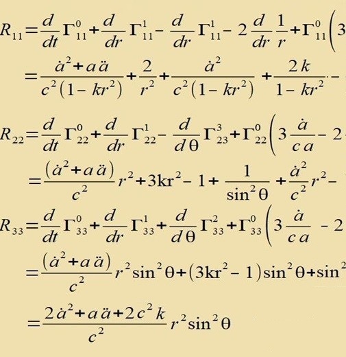
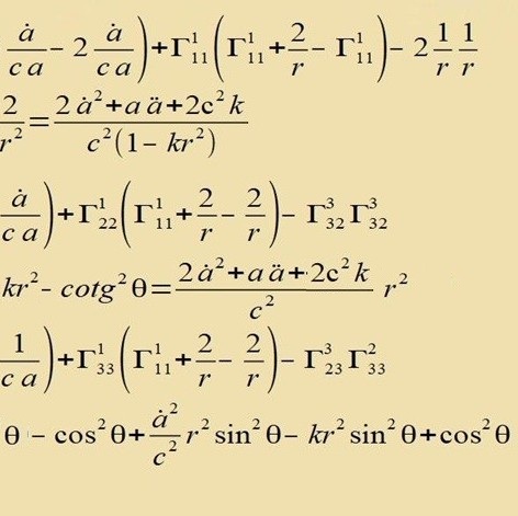
| Di Komponenten des Riccitenzors zint | ![]() | unt mit j=1,2,3 |
|
| Tsu dizem Riccitenzor gehört der Ricciskalar | ![]()
|
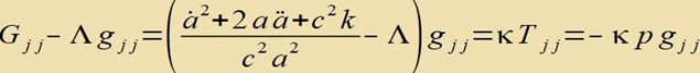
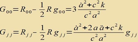
Di Komponenten des Einsteintenzors zint |
|
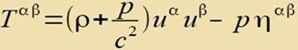
| Der Energi-Impulz-Tenzor eines idealen Gazes (oder einer Flüssigkeit) ist inn der Minkowski Raumtseit gegeben durx
ρ: Massen/Energidixte p: izoctaticer Drukk u: Firergecvindigkeit ηαα=+1 (kontravariante Form!) Es ist u0=(c,0,0,0) unt damit u0u0=c2, alle anderen Gecvindigkeiten zint gleix Null |
|
| Imm Minkowski-Raum | ![]() | Inn der RW-Metrik |
|
| Nun ist alles forbereitet, um di Feldgleixungen | ![]() | mit | ![]() | antsuvenden. |
| Aus | ![]() | folgt di erste Friedmann Gleixung |
|
| ======================================== | |||
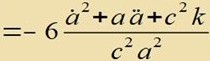
![]() | fürt tsu |
|
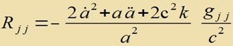
| Indem man in dizes Tsviccenergebnis di erste Friedmann Gleixung einzetst, erhält man di tsveite Friedmann Gleixung |
|
| ====================================== |