|
 | |
Clist man di beiden Platten eines Plattenkondenzators - tsvei einander izolirt gegenüberctehende Metallplatten - an di Pole einer
Stromkvelle, värend tsviccen Pol unt Platte je ein empfindlixxes Amperemeter gecaltet ist, zo tseigen beide Amperemeter beim Eincalten einen kurtsen Ausclag in gleixer Rixtung. Kurtstseitig ist vi
durx einen Ctromkreiz ein Ctrom geflossen, der aber bald tsu Ende var, veil keine leitende Ferbindung tsviccen den Platten becteht. Bei dem Ctromctos zint Ladungen auf di eine Platte geflossen,
fon der anderen flossen Ladungen veg. Dize Beobaxtung bleibt gültig, aux venn der Tsuzammenhang tsviccen konventsioneller Ctromrixtung unt tatzäxxlixxer Flisrixtung der Ladungen nox nixt geklärt ist.
Man zagt, der Kondenzator ist geladen, di Platte, di mit dem positiven Pol ferbunden ist, ist positiv geladen, di andere negativ. Aus der Maccenregel folgt, dass dan vegen I=0 der Kondenzator eine
Ctrom- oder besser Cpannungskvelle ist mit der gleixen, aber entgegengezetst gepolten Urcpannung U0.
|
| Hengt man eine kleine leichte Metallkugel an einem izolirenden Faden tsviccen di Platten, zo fligt zi nax einer kurtsen Berürung mit einer Platte tsur anderen, vider tsurük unt
veiter hin unt her fon einer Platte tsur anderen. Bei jeder Berürung tseigen di Amperemeter einen Ctromctos, di Kugel überbrükkt di Unterbrexxung des Ctromkreizes, unt es flist ein tserhakkter Ctrom.
Vird di Ferbindung der Platten tsur Ctromkvelle getrennt, zo kommt nach einigem Hin-unt-Her di Kugel tsur Ruhe, der Kondenzator ist entladen. Trennt man den geladenen Kondenzator fon der
Ctromquelle unt tsiht di Platten zo veit auseinander, dass di geladene Kugel keine Platte mer erreicht, zo vird zi fon einer Platte angetsogen, fon der anderen apgectosen. Nax einer Berürung mit der
Platte, fon der zi angetsogen vird, fertaucen zix Antsihung unt Apctosung. Aux venn di Kugel mit einer gants anderen Cpannungskvelle aufgeladen vird, vird zi fon einer Platte des Plattenkondezators
angetsogen unt fon der anderen apgectosen. | | 
|
Es gibt genau tsvei fercidene Arten elektricer Ladung, di positive unt di negative. Gleichnamige Ladungen ctosen zix ap, ungleixnamige Ladungen tsihen zix an.
Fercibt man den Aufhengepunkt der geladenen Kugel, zo ändert das nixts am Winkel α: di Kraft auf di Kugel ist unaphengig fom Ort tsviccen den Platten. Allerdings darf di Kugel nixt tsu nahe an
den Rand des Brereixes kommen, der fon den Platten begrentst vird. Um nun di Ladung der Kugel definirt tsu ändern, lässt man zi eine gleixartige ungeladene Kugel berüren. Di gegenzeitige Apctosung
zorgt dafür, dass zix die Ladungen halb unt halb auf di beiden Kugeln ferteilen. Für dize Kugel mit halbirter Ladung ist der Tangens des Vinkels α halb zo gros vi forher. Alzo ist di Kraft auf di halbirte
Ladung halb zo gros. Da das gleixe für ferciden grose Ladungen gilt, muss di Kraft auf eine Ladung überall imm Raum tsviccen den Platten proportional tsur Ladung sein. Das elektrice Feld (Definitsion!)
tsviccen den Platten ist überall tsviccen den Platten gleix ctark unt gleix gerixtet; man zagt, das Feld ist homogen.
Feldlinien zint Raumkurven, deren Tangenten inn jedem Punkt des Raumes parallel tsu dem dort hercenden Feld ligen. Di Feldlinien tsviccen den Platten eines Plattekondenzators
zint parallel unt zenkrext tsu den Platten, zi beginnen an der pozitiv geladenen unt enden an der negativ geladenen Platte.
Di Feldctärke ist proportsional tsur Ladung des Kondenzators unt veil zi
aux proportsional tsur Cpannung ist, zint Ladung unt Cpannung am Kondenzator tsu einander proportsional. Der Proportsionalitätsfaktor ist di Kapatsität des Kondenzators C=Q/U.
| |  | |
|
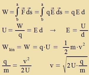
Di Rexnung tseigt, velxe Arbeit geleistet vird, wenn eine Ladung q fon der ungleixartig geladenen Platte tsur gleixartig geladenen gefürt vird. Zi ctekkt dan als potentsielle Energi inn der Ladung. Dividirt man
durx di Ladung, zo erhält man di Potentsialdifferents tsviccen a unt b, unt das ist di Cpannung tsviccen den Platten. Vird di potentsielle Energi inn kinetice Energi umgezetst, venn alzo eine Ladung fon der
gleixartig geladenen Platte tsur anderen "fällt", zo ergibt di letste Formel di Gecvindigkeit, di eine Ladung mit der Msse m nax dem Durxlaufen einer Spannung hat.
Venn Metall mit geeignet
behandelter Oberfläxxe erhitst vird, "ferdampfen" negative Ladungen aus dem Metall inn di Umgebung. Ist dis Metall di negativ geladene Platte eines Kondenzators (Katode), zo verden di frei gevordenen
Ladungen durx das Feld becleunigt unt fligen durch eine Öffnung inn der pozitiv geladenen Platte mit bectimmter Gecvindigkeit inn den dahinter feldfreien Raum. Um di Varceinlixkeit einer Kollizion mit
Gazmolekülen (Luft) heraptsuzetsen, vird der Ferzux inn mäsigem Vakuum durxgefürt. Veil aber immer nox genügend Kollizionen statfinden unt dadurx di Gazmoleküle tsum Leuxten angeregt verden,
ist der Ctral negativer Ladungen zixtbar. Dizer "Katodenctral" hat eine vixtige Rolle inn Füzik unt Texnik gecpilt. Da er aus bevegten Ladungen becteht, entcprixxt der Katodenctral einem Ctrom.
| Nemen vir tsum Fergleix an, dass zix inn einem metallicen Leiter n frei beveglixxe, gleixartige negative Ladungen q mit der Gecvindigkeit v bevegen, dan treten inn der Tseit t alle n Ladungen durx di Kvercnittsfläxxe A, di inn dizer Tseit höxstens di Ctrekke l tsurüklegen müssen. Ctrom und Gecvindigkeit zint entgegengezetst gerixtet.
| |  | |  |
Ein Mangnetfeld vird ferurzaxxt durx Ctrom oder durx einen Permanentmangneten, Rixtung unt Feldlinien verden durx kleine Mangnetnadeln bectimmt. Ein homogenes Mangnetfeld kann durx Cpulen oder
durx Permanentmangnete mit planparallelen Polen ertseugt verden. Eine ruhende Ladung erfärt imm Mangnetfeld keine Kraft.
 | Venn ein Leiter der Länge l zenkrext tsum Mangnetfeld fom Ctrom I durxflossen vird, dan virkt eine Kraft F zenkrext tsu B
unt I auf dis Leiterctükk (alzo zenkrext tsur Tseixenebene). Di Kräfte auf di Ctromtsufürungen (bei a unt b) heben zix gegenzeitig auf, veil di beiden Ctröme entgegengezetst laufen. Das Mangnetfeld
B kann nax der Definitsionsgleixung B = F/(l ∙I) aus der Kraft bectimmt verden. Zetst man umgekert di obige Gleixung für den Ctrom ein, zo erhält man di Gezamtkraft auf alle n Ladungen unt, venn
man durx n dividirt, di Kraft auf eine bevegte Ladung, di Lorentzkraft. | Lorentzkraft
|
|
|
|
Um den Katodenctral tsu unterzuxen, ist das homogene Mangnetfeld eines Helmholtz-Cpulenpaares besser geeignet als ein Permanentmangnet, B vird auf gleixe Art gemessen. Venn der Katodenctral
zenkrext tsum Mangnetfeld eingectralt vird, bleibt er inn der Ebene zenkrext tsum Mangnetfeld, veil er durx di Lorentzkraft keine Gecvindigkeitskomponente parallel tsum Mangnetfeld erhalten kann.
| Imm Bild ist di "Ctralkanone" oben tsu zehen, das Mangnetfeld geht zenkrext durx di Tseixenebene. Imm Ferzux becreibt der Katodenctral einen Kreiz. Es vurde con getseigt, dass bei einer Kreizban Vinkelgecvindigkeit unt Bangecvindigkeit konstant zint unt dass di tsum Mittelpunkt aplenkende Kraft gleix der Tsentripetalkraft ist. Imm Bild ziht man, dass di Ladungen imm vezentlixxen auf der gleichen Kreizban laufen, nax der Rexnung zint zi alle gleix cnell; nur einige zint etvas langzamer, veil zi con bei forhergehenden Kollizionen Energi ferloren. Di Rexnung tseigt, dass di Teilxen des Ctrals alle di gleixe cpetsifice Ladung q/m haben: es zint Elektonen mit der Elementarladung -e unt der Masse me. |  | 
Der heutige Vert für das Elektron ist
|
|
| Fadenctralror (bearbeitet) Fundctelle
|
|
Massencpektrometer arbeiten nax dizem Printsip: geladene Teilxen verden inn einem elektricen Feld becleunigt unt inn einem Mangnetfeld apgelenkt.
Historices: Elektrice Aufladungen durx Reibung zint zeit dem Altertum bekannt. Otto von Guericke baute 1663 eine Elektrizirmacine, mit der Gottfried Wilhelm von Leibniz eine Funkenentladung
beobaxtete. Aber erst als Ewald Georg von Kleist Mitte des 18. Jarhunderts mit der zogenannten Leidener Flacce einen Kondenzator hoher Kapatsität erfunden hatte, der durx Reibungselektritsität
aufgeladen vurde, begann man, züstematic elektrice Erceinungen tsu ctudiren. Um 1800 fürte Alessandro Volta den Begriff Cpannung ein, entdekkte di Proportionalität tsviccen Ladung unt Cpannung am
Kondenzator unt erfand di Batteri, zodas nun ein konstanter Ctrom für Eksperimente tsur Ferfügung ctand. Ein halbes Jarhundert cpäter fand Julius Plücker di Katodenctralen unt 1896 ctellte Emil Wiechert
fest, dass Katodenctralen aus zupatomaren Teilxen bectehen, Elektronen. Joseph John Thomson misst deren cpetsifice Ladung unt folgert, dass ire Masse mindestens um den Faktor 1700 kleiner ist
als di eines Wasserctoff-Ions. Di Elementarladung vurde dan 1910 fon Robert Andrews Millikan bectimmt.
| Mit einem Parfümtserctäuber können zer kleine Öltröpfxen ertseugt verden, di zolange
fallend becleunigt verden, bis ir Gevixt entgegengezetst gleix der Kraft ist, di zi durx Luftreibung erfaren. Dize Reibungskraft ist proportional tsu Gecvindigkeit unt Radius des Tröpfxens, der
Proportsionalitätsfaktor k vurde forher mit kleinen Kugeln fon bekanntem Radius und fergleixbarer Dixte gemessen. Misst man nun di Driftgecvindigkeit eines Öltröpfxens, zo kann zein Gevixt
bectimmt verden. | | |
 | | Veil di Öltröpfxen beim Tserctäuben durx Reibung mit einer Ladung q aufgeladen vorden zint, erfaren zi imm Feld eines
Plattenkondenzators eine tsuzätslixxe Kraft. Di Cpannung des Kondenzators vird nun zo eingectellt, dass das beim Fallen beobaxtete Tröpfxen ctill cteht. Dan ist di Kraft des elektricen Feldes
auf das Öltröpfxen gleix dessen Gevixt.
|
|
|