|
Tsur Bectimmung der Gravitatsionskonstanten G ist es notvendig, zer kleine Kräfte tsu messen. Datsu dint di Drehvage. An den Enden eines leixten Ctabes der
Länge 2∙l zitsen tsvei kleine Bleikugeln gleixer Masse. Der Ctab ist drehbar aufgehengt an einem Torzionsfaden, der an einem Punkt zenkrext über der Tseixenebene befestigt ist.
Um eine Auslenkung l∙φ der Kugeln aus irer Ruhelage tsu messen, ist imm Drehpunkt am Ctab ein Cpigel angebraxt, zodas ein Lixtctral, der auf den Cpigel fällt, um den
doppelten Vinkel 2φ apgelenkt vird.
Tsvei cvere Bleikugeln gleixer Masse ligen auf einem Teller, der möglixst ercütterungsfrei gedreht verden kann. Tsunäxst bilden di
Mittelpunkte der fir Bleikugeln ein Kvadrat, zodas di kleinen Bleikugeln vegen der Zümmetri der Anordnug kräftefrei zint. |  | Venn der Teller zo
gedreht vird, dass di cveren Kugeln nahe bei den kleinen ruhen (inn der Skitse grau), dan virkt tsviccen inen di Kraft F(r)=m∙GM/r2 ((10) Kap. XVI).
Θ=2m∙l2 ist das Trägheitsmoment der Hantel unt D das Direktsionsmoment des Torzionsfadens. Das Drehmoment, das auf di Hantel virkt, ist
 Der tsveite Zummand kann fernaxlässigt verden, venn D genügend klein ist. Auserdem bleibt di Auslenkung l∙φ klein gegen den Radius
der grosen Kugel, zodas der Apstand r tsviccen den Mitten fon m unt M näherungsveize konstant ist. Durx tsveimalige Integratsion erhält man 
Aus der Kurve φ∙/∙t2 kann di Gravitatsionskonstante G bectimmt verden.
|
Mit einer änlixxen Drehvage kann aus dem Coulombcen Gezets F(r)=q∙E(r) ((11) Kap. XVI) di elektrice Feldkonstante ε0
bectimmt verden. Einen genaueren Vert erhält man aus der Lichtgecvindigkeit c unt der mangneticen Feldkonstante μ0.
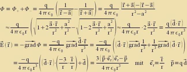
| Mit dem Coulombcen Gezets kann das elektrice Feld bei einer festzitsenden Ladungsferteilung durx einfaxxe Vektoradditsion (oder Integratsion) bectimmt verden. Als Beicpil
vird das Potentsial unt das Feld eines zümmetricen elektrischen Dipols mit dem Dipolmoment p=qd inn einer Entfernung berexnet, di gros gegen di Apmessungen des Dipols ist.
|  |
|
Inn einem homogenen elektricen Feld fercvindet di Zumme der Kräfte auf einen elektricen Dipol p=q∙d. Es virkt aber ein Drehmoment
M.
 |  | Ist der Dipol um einen Vinkel φ gegenüber dem Feld ausgelenkt, zo bezitst er potentsielle Energi.
|
| Aux hir vird der Betsugspunkt für di Energi gerne fercoben. Venn zi für φ=90° gleix Null gezetst vird, lautet di Gleixung
|  |
|
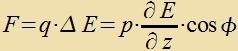
| Imm inhomogenen Feld zorgt der Felduntercid ΔE=d∙cos(φ)∙grad(E) beider Ladungen für eine nixtfercvindende rezultirede Kraft. Ist
φ der Vinkel tsviccen dem Dipol unt dem Feldgradienten (inn z-Rixtung), zo folgt |
|
|
|
|
Di Überlagerung tsveier Potentsiale oder Felder lifert durx Additsion vider ein eindeutiges Potentsial unt ein eindeutiges Feld. Feldlinien können zix nixt cneiden, da dan imm
Cnittpunkt das Feld nixt eindeutig väre. Auf der Oberfläxxe eines Leiters ferteilen zix frei beveglixxe Ladungen zo, dass das elektrice Feld keine tangentsiale Komponente mer hat.
Di elektricen Feldlinien enden alzo immer zenkrext auf der Oberfläxxe eines Leiters; nur zo virkt keine Kraft mer auf di freien Ladungen, di zi veiter ferciben könnte.
Kugelkondenzator Tsvei kontsentrice Metallkugeln zint mit entgegengezetst gleixen Ladungen geladen. Das elektrice Feld ist rotatsionszümmetric.
 | |  Feld tsveier entgegengezetst gleixer Ladungen
| | Feld einer Ladung gegenüber einer ebenen
(unbegrentsten) Metallplatte, di entgegengezetst gleix geladen ist. Dis Feldlinienbild encteht aus dem nebenctehenden, venn man di Metallplatte inn di Mittelebene tsviccen di
Ladungen legt.
|
| Eine Kreizceibe mit dem Radius R unt der Fläxxe A, di gleixmäsig mit der Ladung Q geladen ist, ertseugt auf irer Akse imm Apctand d, der klein zei gegenüber R,
das Potentsial Φ. Eine tsveite Ceibe imm Apctand d fon der ersten mit der Ladung -Q ertseugt den gleixen Potentsialuntercid über den Apctand d. Veil beide Ladungen imm
Tsviccenraum inn gleixer Rixtung virken, ist di Zumme der Potentsialuntercide der doppelte Vert. U=ΔΦ unt Q ergeben di Kapatsität C. |
|
|
Veil das Feld tsviccen den Platten homogen ist, gilt das Ergebnis für di Mittelakse für den gezamten Raum tsviccen den Kondenzatorplatten, unt veil di Form der Platten keinen
Untercid maxxt, ist di Formel für di Kapatsität allgemein gültig für Kondenzatoren mit parallelen Platten.
| Venn eine äusere Cpannungskvelle einen Potentsialuntercid U an den Enden eines Leiters der Länge l aufrect erhält, gibt es längst des Leiters ein elektrices
Feld E unt einen andauernden Ctrom I. Ist A di Kvercnittsfläxxe des Leiters unt j=I/A di Ctromdixte, zo ist j proportsional tsu E=U/l. |  σ ist
di Leitfähigkeit des Leitermaterials.
|
 Metall imm E-Feld | One äusere Cpannungskvelle kann es kein elektrices Feld imm Innern eines Leiters geben, da di frei
beveglixxen Ladungen durx ein Feld zofort zo lange fercoben verden, bis di Kräfte auf di Ladungen zix gegenzeitig aufheben. Ein äuseres elektrices Feld tsiht eine Ladungsart an di
tsugevandte Oberfläxxe eines Leiters, värend di anderen Ladungen zix gleix ctark auf der entgegengezetsten Oberfläxxe zammeln. Haben dize di Möglixkeit aptsufliesen, dan bleibt der
Leiter nixt mer neutral, zondern ist geladen: es zint Ladungen 'hineingeflossen' (Influents).
Ein Material one frei beveglixxe Ladungen ist ein Dielektrikum. Ein äuseres
elektrices Feld kann ein Dielektrikum polariziren, indem es pozitive unt negative Ladungen unterciedlix fercibt unt zo Dipole ertseugt oder forhandene Dipole ausrixtet. Polarizatsion
cväxxt das Feld imm Innern des Dielektrikums. Das Ferhältnis des äuseren Feldes imm Vakuum, das di Polarizatsion ferurzaxxt, tsum Feld imm Dielekktrikum ist di relative Permittivität
(Durxlässigkeit) εr mit εr>1. |  Dielektrikum imm E-Feld
|
Apveixend fon dem becribenen einfaxxen Fall elektricer Polarizatsion gibt es Dielektrika, deren Polarizatsion imm allgemeinen nixt parallel ist tsum ferurzaxxenden Feld. Di
Permittivität kann dan nixt durx einen einfaxxen Tsalenfaktor becriben verden, zondern nur durx einen Tenzor. Inn einigen Dielektrika bleibt eine elektrice Polarizatsion nax dem
Fercvinden des ferurzaxxenden Feldes erhalten, das zint zogenannte Elektrete.
Polarizatsion ferändert das Feld one tsuzätslixxe Ladungen; denn das Dielektrikum bleibt dabei elektric neutral. Inn Gleixungen vird Polarizatsion berükzixtigt, indem das
Vakuumfeld EV durx das fiktive Feld εrE erzetst vird. Di grunzätslixxe Betsihung tsviccen Ladung unt Feld vird
entcprexxend angepasst.
| Gleixung (7b) inn Kapitel XIII vird tsu |  | Bei Polarizatsion vird vi hir ε0 durx ε=εrε0 erzetst.
|
|
|
|
Trots der merfaxxen Ferknüpfung fon mangneticen unt elektricen Feldern zint di Urzaxxen unt Virkungen beider Felder föllig ferciden. Di folgende Tabelle tseigt eine grobe Überzixt. Fettdrukk bedeutet,
das Tema vurde con behandelt.
| Feld | möglixxe Urzaxxen | möglixxe Virkungen
| | elektrices Feld E | elektrice Ladungen | Induktsion | Kraft auf elektrice Ladungen
| Influents | elektrice Polarizatsion
| | mangnetices Feld B | Permanentmangnet | elektricer Ctrom | Kraft auf Permanentmangneten | Kraft auf bevegte Ladungen | mangnetice Polarizatsion
|
 | Ein tüpicer Permanentmangnet ist der Ctabmangnet. Ctreut man Eizenfeilcpäne auf eine Unterlage, unter der zix ein Ctabmangnet befindet, zo verden dize mangnetizirt unt ordnen zix tsum nebenctehenden Feldlinienbild an. Di Feldlinien zint dadurx inn zix geclossen, dass zi imm Innern des Mangneten tsurüklaufen.
Das rexte Bild tseigt di Feldlinien eines idealen Ctabmangneten. Di Pfeile tseigen di Rixtung der Kraft auf den Nordpol eines anderen Mangneten. |
|
Permanentmangnete zint mangnetice Dipole mit einem Nordpol unt einem Züdpol. Gleixnamige Pole ctosen zix ap, ungleixnamige tsihen zix an.
Das Feld eines Ctabmangneten ändert zix fon Ort tsu Ort inn Ctärke unt Rixtung, es ist inhomogen. Daher gibt es für einen anderen Magneten keine Lage, inn der di Kräfte auf zeine beiden Pole gleix zint: ein anderer Magnet vird angezogen oder apgectosen. Anders inn einem homogenen Feld, venn alzo das Mangnetfeld über einen gröseren Bereix nax Stärke unt Rixtung gleix bleibt. Ein Mangnet mit dem Dipolmoment m hat imm homogenen Mangnetfeld B eine potentsielle Energi, unt es virkt ein Drehmoment M.
Inn Analogi tsu (5), (6) unt (7) gelten di Geixungen |  |  |
|
|
|
|
Es gibt drei untercidlixxe Arten mangneticer Polarizatsion, di vider inn filen Fällen durx einen einfaxxen Tsalenfaktor becriben verden, di relative Permeabilität μr. Zi gibt das Ferhältnis tsviccen den Ctärken des mangneticen Feldes inn der Probe unt auserhalb (imm Vakuum) an: BP=μrB.
| μr<1: Diamangnetismus | μr>1: Paramangnetismus
| μr>>1: Ferromangnetismus
| | Inn diamangneticem Material entctehen beim Einbringen ins B-Feld dauerhafte (atomare) Kreizctröme, deren Mangnetfeld irer Urzaxxe entgegenvirkt (s. Lenzce Regel), alzo das B-Feld cväxxt. Inn jedem Material gibt es geringen Diamagnetismus, der aber gegenüber Para- oder Ferromangnetismus nixt erkennbar ist. | Imm paramangneticen Material zint mangnetice Dipole ungeordnet forhanden. Zi verden durx ein äuseres B-Feld teilveize ausgerixtet. Im Gegenzats tsur elektricen Polarizatsion vird dadurx das B-Feld imm Material ferctärkt, veil das B-Feld keine Zenken hat unt di Rixtung des ctarken inneren Dipolfeldes gleix der des äuseren Feldes ist. | Eizen, Kobalt unt Nikkel zint ferromangnetic. Inn zolxem Material zint con one äuseres Feld di forhandenen Dipole inn kleineren Gruppen - inn Weißcen Betsirken - gleixgerixtet. Venn ein äuseres Feld dize Betsirke umorientirt, ergibt dis einen ctarken Beitrag tsum äuseren B-Feld, der aux nax dessen Fercvinden teilveize bectehen bleibt.
|
Inn inhomogenen Mangnetfeldern vird diamangnetices Material inn Rixtung geringerer Feldctärke getsogen, para- und ferromangnetices Material inn Rixtung gröserer Feldctärke.
|
| A | | | |