|
 | Mit jedem Ctrom ist ein Mangnetfeld ferbunden. Di mangneticen Feldlinien um einen ctromdurxflossenen geraden Leiter ligen kreizförmig unt
kontsentric um den Ctrom - vi con imm Kapitel X getseigt vurde -, ire Rixtung vird durx di Rextscraubenregel bectimmt. Inn der Skitse flist der Ctrom (rot) alzo inn di Tseixenebene
hinein. Durx di Ctrixxdikke zoll ferancaulixt verden, vi das Mangnetfeld mit tsunemender Entfernung r fom Ctrom cväxxer vird. Jedes Mangnetfeld ist ein Rotatsionsfeld unt als zolxes vurde di Gleixung
für das Mangnetfeld eines Ctromes inn Kapitel XII (Gleixungen (25) unt (26)) entvikkelt. Di mangnetice Feldkonstante μ0 kann gemessen verden,
ist tatzäxxlix aber con durx di Definitsion des Ampere festgelegt. |
|
|
|
|
| Tsviccen tsvei ctromdurxflossenen Leitern virkt eine Kraft, veil imm Mangnetfeld des einen Ctroms der andere Leiter eine Kraft erfärt unt umgekert. Zint di Leiter parallel,
zo ligt di Kraft inn der fon beiden Leitern aufgecpanntenn Ebene, zint di Ctröme gleixgerixtet, zo virkt di Kraft inn Rixtung fon I X B, alzo antsihend auf beide Leiter.
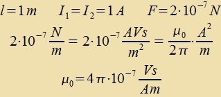
|  | Für di Kraft tsviccen tsvei Leitern der Länge l (zenkrext tsur Tseixenebene) gilt
 | |
Mit den Daten der Ampere-Definitsion folgt
|
Vird das Mangnetfeld bei gleixem Ctrom durx Polarizatsion ferctärkt, zo muss inn Gleixung (1) nur μ0
durx μ=μ0μr erzetst verden.
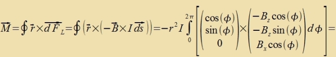
Inn einem homogenen Mangnetfeld fercvindet di rezultirende Kraft F auf einen
kreizförmigen ctromdurxflossenen Leiter, es virkt aber ein Drehmoment M.
| Das Koordinatenzüstem kann zo gevält verden, dass der Kreizctrom inn der x-y-Ebene unt di y-Akse zenkrext tsum Mangnetfeld ligt. |
|
|
 | Auf einen Kreizctrom virkt imm Mangnetfeld das gleixe Drehmoment vi auf ein mangnetices Dipolmoment m=I∙A.
|
|
|
|
 | ist allgemein der mangnetice Fluss durx eine Fläxxe A. Der Vert ist bis aufs Fortseixen gleix für alle Fläxxen mit der gleixen Randkurve;
|
denn tsvei zolxe Fläxxen mit entgegengezetster Orientirung clisen ein Volumen ein, unt B ist divergentsfrei. Das Integral ist deshalb nur durx di Randkurve - eine geclossene Kurve imm Raum - bectimmt.
Eine Leitercleife bildet di Randkurve einer Fläxxe, ist aber an einer Ctelle aufgetrennt unt hat dort tsvei Endpunkte. Es gilt das Induktsionsgezets:
| Värend der Änderung des mangneticen Flusses einer Leitercleife gibt es an deren Ende
eine elektrice Cpannung
| |
|
|
|
|
Di Rixtung der indutsirten Cpannung, di hir formal durx das Fortseixen bectimmt vird, kann besser durx di Lenzce Regel angegeben verden:
Di indutsirte Cpannung ist zo gerixtet, dass ein entcprexxender Ctrom irer Urzaxxe, alzo der Flussänderung entgegen virkt.
Auf velxe Art di Flussänderung tsuctande kommt, ist für di Induktsion one Bedeutung. Op di Leitercleife imm Mangnetfeld gedreht, herausgetsogen oder hineingecoben vird oder op das Mangnetfeld
ferändert vird: es kommt immer nur auf di tseitlixxe Änderung des mangneticen Flusses Φ der Leitercleife an. Aber aux nur gleixtseitig mit dizer Änderung gibt es eine indutsirte Cpannung.
Bezonders inn der Vekselctromtexnik für di Funktsion fon Cpulen, Transformatoren unt Generatoren ist das Induktsionsgezets fon grundlegender Bedeutung.
Di indutsirte Cpannung vird längst des Leiters aufgebaut, zi ist das Ergebnis eines elektricen Feldes längst der Cleife: Uind=∫
Eindds.
| Rein matematic ist |  | unt da das für jede Fläxxe A gilt,
| | folgt das Induktsionsgezets inn differentsieller Form |
|
|
|
|
Es ligt di Fermutung nahe, dass umgekert aux jede Änderung des elektricen Feldes E einen Virbel des Mangnetfeldes B ertseugt. Hir
füren nun Überlegungen tsum Kondenzator veiter; denn värend ein Ctrom tsum Kondenzator flist, gibt es um dizen Ctrom ein Mangnetfeld,
das auf beiden Zeiten mit gleix bleibender Ctärke bis an di Platten reixt. Es ist cver forctellbar, dass dis Mangnetfeld an den
Platten aprupt apbrixxt. Nimt man aber an, dass es zix über den Raum tsviccen den Kondenzatorplatten inn gleixer Ctärke fortzetst,
dann vird dort di Änderung des elektricen Feldes beim Aufbau der Kondenzatorladung di Urzaxxe zein. Der folgende Fergleix begründet
den 'Fercibungsctrom' jM, der den Lade- oder Entladectrom inn den Tsviccenraum fortzetst.

Di Urzaxxe eines Mangnetfeldes B ist di Zumme aus der Ctromdixte der bevegten Ladungen unt dem 'Fercibungsctrom'
jgez=jL+jM. Gleixung (10) lautet dan inn
integraler unt inn differentsieller Form

| Tsuzammen mit Gleixung (10) gilt dan imm Vakuum |  | unt |
|
|
|
|
 | unt |
|
Vi inn der Tabelle (15) imm Anhang tsu Kapitel XIII aufgefürt ist, gilt für jede Vektorfunktsion
u(r) di Gleixung
rot(rot (u(r)))=grad(dvg(u(r)))-(Δux,Δuy,Δuz)
mit dem Laplace-Operator Δ. Unt veil imm Vakuum jede Divergents fercvinden muss, ist der erste Zummand gleix Null. Es bleibt
 | unt |
|
|
|
|
Hir ligen tsvar formal zeks fon einander unaphengige Gleixungen for, es muss aber als Nebenbedingung beaxtet verden, dass veder di
Rotatsion fon E nox di fon B fercvinden darf, veil es imm Vakuum veder Ladung nox Ctrom gibt unt ctatdessen
nur E unt B zix gegenzeitig bedingen. Imm folgenden zollen tsvei Beicpile behandelt verden.
 | Inn beiden Fällen gilt
|  | mit |
|
|
|
|
Beide Gleixungen (16) - unt aux alle anderen Lözungen - ctellen Vellen dar mit der Frevents f, der Vellenlänge λ unt der
Fazengecvindigket c. Da aux Lixt eine elektromangnetice Velle ist, ist c=300000 km/s di Lixtgecvindigkeit. Bei der ersten Gleixung
cvingt das elektrice Feld parallel tsur z-Akse unt dize Cvingung pflantst zix fort inn Rixtung der x-Akse. Di Vellenfronten -
Orte gleixer Faze - ligen parallel tsur y-Akse. Di Velle ist transverzal, linar polarizirt unt one räumlixxe Becränkungen, es
ist eine ebene Velle.
Bei der tsveiten Gleixung ist das Feld an den Ctellen x=n∙π/k konstant gleix Null, dort ligen di Knoten einer ctehenden
Velle. Tsviccen parallelen Metallplatten (Holraumrezonator) können zolxe ctehenden Vellen angeregt verden, venn der Apctand der
Platten ein Filfaxes der halben Vellenlänge ist. Dan ligt auf den Platten ein Knoten, die elektrice Feldcärke imm Metall
gleix Null ist. Dize Velle ist tsirkular polarizirt.
Di Gleixungen (16) ctellen Lözungen der Vellengleixung (15) für untercidlixxe Randbedingungen dar. Alle linearen Kombinatsionen
fon Lözungen tsu gleixen Randbedingungen zint vider Lözungen tsu dizen Randbedingungen. Das ist das Printsip der linearen
Zuperpozitsion.
Da nax dem Induktsionsgezets (10) di Rotatsion des elektricen Feldes gleix der tseitlixxen Apleitung des mangneticen Feldes ist,
kann tsu jedem E(r,t) das tsugehörige B(r,t) leixt berexnet verden. Für di ebene Velle (16a) gilt
 
Bei dizer ebenen Velle cvingen E unt B immer zenkrext tsu einander unt zint überall inn Faze, zint alzo gleixtseitig Null
oder ekstremal. Für (16b) gilt
Bei dizer ctehenden Velle drehen zix E unt B gemeinzam inn einer Ebene um di x-Akse. Ire Knoten zint um ¼ der
Vellenlänge gegeneinander fercoben.
Di Vellengleixung (15) vird oft mit dem d'Alambert-Operator gecriben.
 | Unt ebenzo |
|
|
|
|
Di Differentsialgleixungen dizes Kapitels gelten für alle elektromangneticen Vellen unt alle haben als Fasengecvindigkeit di Lixtgecvindigkeit imm Vakuum oder aux - mit den entcprexxenden Verten fon
μ unt ε - inn einem Medium. Zi unterceiden zix dagegen gants erheblix durx ire Frekvents oder Vellenlänge, fon langen Radiovellen bis tsu härtesten γ-Ctralen. Etlixxe Vellenbereixe
verden aux texnic genutst für Radio, Funk, Ferzehen, Radar, Infrarot, Lixt, UV unt Röntgen.
Historices: Di erste Entdekkung auf dem Gebit des Elektromangnetismus maxxte H. C. Oerstedt 1820, als er di Aplenkung einer Kompassnadel inn der Umgebung eines ctromdurxflossenen Leiters
beobaxtete. Dadurx angeregt begann M. Faraday zeine Ferzuxe mit Ctrom unt Mangneten unt entdekkte 1831 das Induktsionsgezets. Di fon Faraday entvikkelte Forctellung fon Feldlinien nam
J. C. Maxwell auf unt braxte di forligenden Kentnisse über di elektromangneticen Vekselvirkungen 1862 inn eine geclossene matematice Form, di zogenannten Maxwellcen Gleixungen. Dabei postulirte
er den 'Fercibungsctrom' unt folgerte, es könne elektromangnetice Vellen geben. 1886 gelang dan H. Hertz eksperimentell di Ertseugung elektromangneticer Vellen.
Di Tabelle tseigt als Überzixt über di grundlegenden Gezetse der elektromangneticen Vekselvirkungen di Maxwellcen Gleixungen.
Urzaxxe | Folge
| Gezets (differentsielle Form) | Gezets (integrale Form)
| Name
| | Ladungsänderung | Ctrom | dρ/dt + j = 0 | dQ/dt + I = 0 | Kontinuitätbedingung
| | Ladung | elektrices Feld | dvg E = ρ/ε | ∫ dvg E dV = Q/ε | ----
| | Es gibt keine eintselnen Mangnetpole | dvg B = 0 | ∮ B dA = 0 | Mangnetfeld ist quellenfrei
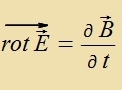
| | Flussänderung | Cpannung | rot E = ∂B/∂t | -U =∮E ds =∂/∂t(∫B dA) | Faradayces Gezets
| | Ctrom, E-Feldänderung | Mangnetfeld | rot B = μ ε ∂E/∂t + μ j | ∮B ds=μ ε ∂/∂t(∫ E dA)+ μ I | Oersted-Maxwellces Gezets |
Das Kreiztseixen bedeutet, dass di Integratsion über di gezamte Oberfläxxe eines Volumens oder über di geclossene Randkurve einer Fläxxe tsu nemen ist. | |
|
| A | | |
|