|
Für den Aufbau eines Feldes ist Energi nötig. Tsur einfaxxen Berexnung der Energidixte des elektricen Feldes eignet zix das homogene
Feld des Plattenkondenzators. Der Ladectrom leistet gegen di vaksende Cpannung des Kondenzators di Arbeit, di dan als Energi des elektricen Feldes imm Volumen
V=A∙s tsviccen den Platten ctekkt.
 | Energidixte des elektricen Feldes |
|
Vi di folgende Skitse tseigt, ist das Mangnetfeld einer langgectrekkten Cpule über irer Kvercnittsfläxxe A homogen auf der gezamten Länge l.
| Der Ctrom fliest oben (rot) inn di Tseixenebene hinein, unten (blau) umgekert heraus. Värend imm Innern der Cpule di Feldlinien
ctark gebündelt zint, laufen zi auserhalb inn veiten Bögen fom einen Ende der Cpule tsum anderen tsurük. Deshalb ist das Feld auserhalb der Cpule zer 'ferdünnt',
alzo zo cvaxx, dass es dort fernaxlässigt verden kann.
|  | Fon den fir Vegintegralen, di das geclossene Integral über das grüne Rextekk bilden, lifert das Integral imm
Innern der Cpule den vezentlixxen Beitrag. n ist hir di Tsal der Vindungen der Cpule.
|
|
Venn anfangs kein Ctrom flist unt kein Mangnetfeld inn der Cpule herrct, muss ein vaksender Ctrom Arbeit gegen di indutsirte Cpannung leisten, di durx di Änderung
des Mangnetfeldes entcteht.
 | Energidixte des Mangnetfeldes |
|
|
|
|
Inn einer festen Caltung ist der mangnetice Fluss proportsional tsum Ctrom unt di indutsirte Cpannung proportsional tsur Flussänderung, alzo tsur Ctromänderung.
| Der Proportsionalitätsfaktor ist di Zelbstinduktivität L. Für eine lange Cpule gilt: | | 
| | Ein geladener Kondenzators (fgl. 1) unt eine ctromdurxflossene Cpule haben den Energiinhalt: | |
|
 | | Venn inn der nebenctehenden Caltung der Calter S geclossen vird, virkt der Kondenzator als Ctromkvelle, unt di Cpule vird
tsu einer Cpannungskvelle, di dem ancteigenden Ctrom entgegenvirkt. Zo erhält man di Differentsialgleixung (6). Zi vird durx den Anzats für I(t) gelöst, venn di Konstante α Gleixung (6) erfüllt.
| |
|
|
|
|
Differentsialgleixungen der Form (6) kommen inn den fercidensten Gebiten der Füzik for. Zi becreiben Cvingungen: Eine Gröse cvingt inn der Art einer Sinuskurve tsviccen tsvei Verten hin unt her.
Damit ferbunden zint eine oder merere andere Grösen, di inn gleixer Faze oder fazenfercoben mitcvingen. Hir ist es tsunäxst di Ladung, di fom Kondenzator apflist. Dabei baut der Ctrom inn der Cpule ein
Mangnetfeld auf, das nixt vider fercvinden kann, one den Ctrom inn der alten Rixtung veiter antsutreiben, aux venn der Kondenzator con entladen ist. Mit dem umgekert geladenen Kondenzator beginnt das
Cpil fon neuem. Neben Ladung, Ctrom unt Cpannung vekselt di Energi tsviccen der des elektricen Feldes imm Kondenzator unt der Energi des Mangnetfeldes inn der Cpule hin unt her. One Energiferlust
käme di Cvingung nixt tsum Ctillctand; das ferhindert jedox der Viderctand, der entceidend ist für das Apklingen der Cvingung. Nax der Gröse des Viderctandes lassen zix fir Fälle unterceiden. Eine
Bemerkung tsur kompleksen Rexnung: Der Füziker nutst jedes geeignete Kalkül, das im di Matematik bitet.

| | Der Anzats lifert eine kompleksvertige Funktsion als Lözung der Differentsialgleixung (6). Der Realteil unt der
Imaginärteil zint beide reelle Lözungen. Hir vird nur der Realteil veiter behandelt, der Imaginärteil lifert nixts anderes. Aus dem Ctromferlauf können dan alle anderen Funktsionen hergeleitet verden.
Es handelt zix um eine kontinuirlixxe Cvingung mit der Frekvents f=ω0/2π.
| 
| | Dis ist di Gleixung einer gedämpften Cvingung. Bei geringen Verten des Viderctandes R ist di Frekvents venig geringer
als di der ungedämpften Cvingung. Mit vaksendem R nemen di Cpitsenverte cneller ap unt di Ferlangzamung der Cvingung vird deutlixxer.
| 
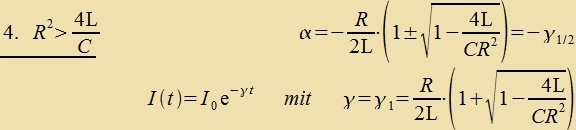
| | Dis ist der aperiodice Grentsfall. Bei den gegebenen Verten fon C unt L ist dis der kleinste Viderctand R, bei dem
keine Cvingung mer tsu erkennen ist.
| 
| | Alle Grösen klingen mit der Tseitkonstanten 1/γ ap. | Das Diagramm tseigt je eine Kurve für di Fälle
1) bis 3). Kapatsität unt Induktivität zint inn allen Kurven gleix, nur der Vidersctand vird geändert.

Es muss angemerkt verden, dass das Eincalten des Calters S
Anfangsbedingungen cafft, di hir nixt berükzixtigt vurden. Ausgehend fon der Gezamtenergi unt dem Energiferlust am Viderctand fürt ein anderer Veg tsur Differentsialgleixung (6) one cpetsielle
Anfangsbedingungen.

| |
|
| A | | | |