| Inn der Texnik ist Vekselctrom mindestens ebenzo vixtig vi Gleixctrom. Man cprixxt fon Vekselctrom, venn di Cpannung der Ctromkvelle eine
feste Periodendauer T hat, alzo venn mit natürlixxen Tsalen n di Cpannung tsur Tseit t+nT gleix der Cpannung tsur Tseit t ist. Di Frekvents ist dan f=1/T unt di
Kreizfrekvents ω=2πf. Jeder Vekselctrom lässt zix matematic tserlegen inn eine Zumme harmonicer Funktsionen einer Grundfrekvents unt deren Filfaxxe.
Deshalb genügt es tsunäxst, Vekselctröme inn der Form fon sin/cos-Funktsionen tsu behandeln. Di hauptzäxxlixxe Cvirigkeit bei der Berexnung fon Vekselctrömen ist di
Berükzixtigung der Fazenfercibung tsviccen Ctrom unt Cpannung; denn beide haben imm allgemeinen nixt gleixtseitig iren Nulldurxgang oder ir Maksimum. Es lässt zix
aber immer einrixten, dass je nax Tsvekkmäsigkeit entveder der Ctrom oder di Cpannung an einer bectimmten Ctelle des Netses tsum Tseitpunkt t=0 maksimal oder Null
ist.
Inn Vekselctromnetsen gibt es neben dem ohmcen Viderctand tsvei veitere Arten fon Viderctänden, den kapatsitiven unt den induktiven Vekselctromviderctand.
Der ohmce Viderctand vurde durx di frei verdende Värmeleistung definirt (Gl. (1) Kapitel XI). Am kapatsitiven unt induktiven Viderctand ferlirt
der Ctrom dagegen keine (elektrice) Energi.
Ein ohmcer Viderctand tseigt keine Fazenfercibung, Ctrom unt Cpannung zint 'inn Fase'. Deshalb ist der Kvotsient
aus Cpannung und Ctromctärke am ohmcen Viderctand tseitlix konstant unt gleix dem Gleixctromviderctand R. Der Momentanvert der Leistung P(t)=U(t)∙I(t) hat
keine Bedeutung, ctatdessen vird di Leistung über eine Periode gemittelt. Mit dizer gemittelten Leistung verden di Effektivverte fon Ctrom unt Cpannung definirt: ein
Gleixctrom mit dizen Verten für Ctrom oder Cpannung gibt an einem ohmcen Viderctand di gleixe Leistung ap.


Durx einen Kondenzator kann Gleixctrom nixt flisen, er kann nur durx einen zer kurtsen Ctromctos aufgeladen oder entladen verden. Ist er aber inn ein Vekselctromnets
eingebaut, dan virken di aufladenden unt entladenden Ctröme eksakt vi ein hindurx flisender Vekselctrom. Dabei kann ein Kondenzator zovol als Viderctand als aux als
Cpannungskvelle angezehen verden, tsur Unterceidung zoll imm letsten Fall eine Tilde dinen.
Eine Cpule ist imm Vekselctromnets eine Cpannungskvelle, di jeder Ctromänderung entgegenvirkt.
|
|
| Überall inn einer Reihencaltung ist der Ctrom gleix tsur gleixen Tseit. Veil aber di Fazenuntercide tsviccen Ctrom unt Cpannung ferciden
zint, unterceiden zix di eintselnen Cpannungsfazen. Vill man nun den gezamten Cpannungsapfall der Reihe berexnen, zo muss man Funktsionen addiren, di inn Amplitude
unt Faze ferciden zind. Entcprexxendes gilt für den Gezamtctrom durx eine Parallelcaltung. Es hat zix bevärt, zolxe Berexnungen fon Vekselctromnetsen imm Kompleksen
durxtsufüren. Di Eulerce Gleixung erlaubt es, di reellvertigen Funktsionen fon Ctrom unt Cpannung als Realteil einer kompleksen Eksponentsialfunktsion tsu ferctehen,
damit tsu rexnen unt aus dem kompleksen Ergebnis vider den Realteil als reellvertiges Ergebnis tsu entnemen. Di bei dizem Rexxenferfaren entctehenden kompleksen
Kvotsenten aus Cpannung unt Ctrom zint tseitunaphengig, zi verden Impedants (Viderctand) genannt.
Für di (kompleksen) Impedantsen erhält man
 | Vekselctromgrösen können inn einem Tseigerdiagramm inn der kompleksen Tsalenebene ferancaulixxt verden. Di
Tseiger für Ctrom unt Cpannung drehen zix gemeinzam inn üblixxer matematicer Rixtung mit der gegebenen Kreisfrekvents ω; dabei bleiben di Tseigerlängen unt
der Vinkel φ - di Fazenfercibung - konstant. Di Projektsionen der Tseiger auf di reelle (horitsontale) Akse verden bei dizer Drehung periodice, um den Vinkel φ
fasenfercobene Funktsionen der Tseit. Imm Diagramm rexts zint zi über etva tsvei Perioden dargestellt. |
|
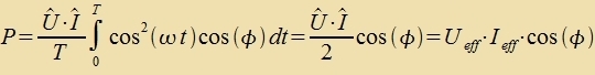
Anmerkung: Es väre ferfelt, vollte man aux di Leistung kompleks berexnen, veil der Realteil des Produkts tsveier komplekser Tsalen nixt gleix dem Produkt irer
Realteile ist! Vekselctromleistungen verden mit Gleixung (9) berexnet.
Mit den kompleksen Vekselctromgrösen kann jedes Vekselctromnets genauzo durxgerexnet verden - mit Maccen- unt Knotenregel oder den daraus folgenden Regeln für
Reihen- unt Parallelcaltung fon Viderctänden - vi ein entcprexxendes Gleixctromnets. Allerdings tseigen con di einfaxxste Caltungen mit Vekselctromviderctänden
vi di Reihencaltung (erstes Beicpil) unt di Parallelcaltung (tsveites Beicpil) kompleksere Eigencaften als entcprexxende Gleixctromcaltungen.
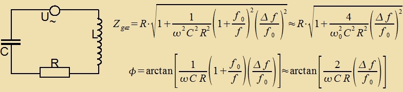
 | L=10μH C=2,51nF daher f0=1,005MHz veiter R=10Ω unt U~=30V |
|
Das Diagramm tseigt den Frekventsgang der Impedants, des Ctroms unt der Fazenfercibung tsviccen dem Ctrom unt der Cpannung der Cpannungskvelle, venn deren Cpitsenvert
- oder aux der Effektivvert - konstant bleibt, värend di Frekvents geändert vird. Alle drei Kurven tseigen an derzelben Ctelle eine Bezonderheit: di Impedants ist
minimal, der Ctrom maksimal und di Fazenfercibung ist Null. Di Frekvents dizer Ctelle vird nur durx Kapatsität unt Induktivität bectimmt, zi ist di gleixe vi di
Frekvents der ungedäpften elektricen Cvingung inn Kapitel XVI. Di Frekvents, mit der eine Caltung one Ctromkvelle frei cvingt, naxdem zi einmal 'angectosen' vurde, ist di
Eigenfrekvents der Caltung. Hir vird di Cvingung durx eine äusere Vekselcpannungskvelle ertsvungen unt immer, venn di Frekvents einer ertsungenen Cvingung mit der Eigenfrekvents des cvingenden
Züstems übereinctimmt, ist di Amplitude der Cvingung maksimal: dan ligt Rezonants for.
Der Gezamtctrom durx dize Parallelcaltung lässt zix aus der Gezamtimpedants leixt berexnen, di Fazenfercibung geht vi bei der Reihencaltung fon π/2 bis -π/2. Inn zolxen Caltbildern zümbolizirt
R nixt nur einen apzixtlix eingebauten ohmcen Viderctand, zondern aux alles, vas inn Leitungen parallel unt inn Zerie durx Joulce Värme an elektricer Leistung ferloren geht. Inn einer Parallelcaltung ist
di Ferlustleistung desto geringer, je gröser R ist, unt das Ferhältnis R/ωL bestimmt di Flankencteilheit unt di Bandbreite (auf halber Höhe) des Frekvenntsganges: je gröser dis Ferhältnis ist, desto
geringer ist di Bandbreite, desto cteiler zint di Flanken. Bei der Reihencaltung ist es umgekert, dort ist di Ferlustleistung unt zo aux di Bandbreite desto geringer, je kleiner der inn Reihe gecaltene ohmce
Viderctand ist. Bei Rezonants ist inn beiden Caltungen di Gezamtimpedants gleix dem ohmcen Viderctand unt di Fazenvercibung fercvindet. Da aber normalerveize di Vekselctromviderctände bei
Rezonants inn der Reihencaltung gröser als der ohmce Viderctand unt inn der Parallelcaltung kleiner zint, zint di Cpannungen an Cpule unt Kondenzator inn der Reihencaltung gröser als di
Gezamtcpannung unt di Ctröme durx Cpule unt Kondenzator inn der Parallelcaltung gröser als der Gezamtctrom. Di Teilcpannungen an Cpule unt Kondenzator inn der Reihencaltung unt di Teilctröme
durx Cpule unt Kondenzator inn der Parallelcaltung heben zix bei Rezonants gegenzeitig auf, veil zi dan gleix unt gegen einander um π fazenfercoben zint.
Inn der Texnik verden Frekventsgänge zogenannter Firpole genutst, um bectimmte Frekventsen oder Frekventsbereixe herfortsuheben oder tsu unterdrükken.
 | | Ein zelektiver Durxlassfilter für di Rezonantsfrekvents der Parallelcaltung. Di Cpannung am Ausgang ist etva gleix der am Eingang,
venn ZK >> RE ist. | | Ein zelektiver Cperrfilter für di Rezonantsfrekvents der Reihencaltung. Fon der Cpannung am Eingang
gelangt fast nixts tsum Ausgang, venn ZK << RE ist. |
|  | | Ist der Viderctand am Ausgang eines T-Firpols zo hox, dass der Ctrom dort fernaxlässigt verden kann, dan gilt
|
|
| einfaxxer Hoxpass | 
| |
| | einfaxxer Tifpass |  |
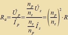
| Vekselctrom bezitst gegenüber Gleixctrom den Forteil, dass Vekselctromgrösen einfaxx transformirt verden können. Ein Transformator becteht aus tsvei Cpulen, di zo angeordnet zint, dass
der fon einer Cpule ausgehende mangnetice Fluss möglixst follctändig durx di andere Cpule flist. Leixt tsu mangnetizirendes Eizen - oder bei höheren Frekventsen Ferrit - bündelt unt ferctärkt das
Mangnetfeld. Mit der indutsirten Cpannung virkt di tsveite Cpule als Vekselcpannungsvelle imm Zekundärkreiz. Di Skitse tseigt für einen bectimmten Tseitpunkt di Polungen der Cpannungen und di
Rixtungen der Ctröme auf der Primärzeite (links) unt auf der Zekundärzeite(rexts), venn di Cpulen entgegengezetst gevikkelt zint. Di Zal der Vindungen ist n.
Inn jeder Vindung vird di gleixe Cpannung indutsirt.
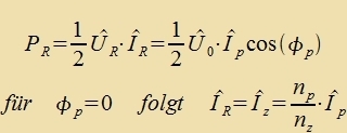
 |  | Di Leistung zei auf beiden Zeiten gleix.
|
Venn auf der Zekundärzeite kein Ctrom flist (R=∞), dann ist di Impedants rein induktiv, di Fazenfercibung tsviccen Ctrom unt Cpannung ist π/2 unt di Cpannungskvelle gibt keine Leistung ap. Vird di
Zekundärzeite dagegen kurtsgeclossen (R=0), dan findet der Zekundärctrom nax oben nur dadurx eine Grentse, dass zein mangneticer Fluss den des Ctroms auf der Primärzeite nixt übertreffen kann:
di Beiträge der beiden Ctröme tsum mangneticen Fluss heben zix gegenzeitig auf, das Produkt aus Vindungstsal unt Ctrom ist auf beiden Zeiten gleix. Das entcprixxt Gleixung (20) unt bedeutet, dass
der Anteil des Primärctroms, der Leistung auf di Zekundärzeite des Transformators überträgt, mit der Cpannungskvelle inn Faze ist unt Gleixung (20) gehorxt. Imm folgenden vird nur dizer Teil des
Ctroms durx di Primärvikklung mit Ip betseixnet. Der Viderctand des Zekundärkreizes virkt imm Primärkreiz vi ein Viderctand Rü.
 | Tsuzammenfassend gilt für den idealen Transformator inn apgekürtster Creibveize |
|
|
|
|
Ein Beicpil: Eine Vekselctromkvelle lifert eine Cpannung fon 220V bei einem Innenviderctand fon 10Ω. Ein entfernter Ferbrauxer zoll über eine Leitung mit einem Viderctand fon 5KΩ
angeclossen verden. Bei einem Ancluss one Transformatoren käme nur ein geringer Bruxteil der Kvellenleistung beim Ferbrauxer an, der gröste Teil vürde inn der Leitung ferloren gehen. Deshalb
vird di Cpannung der Kvelle mit einem ersten Transformator hoxtransformirt unt am Ende der Leitung vider tsurüktransformirt. Das Züstem Kvelle plus Leitung virkt änlix vi di urcprünglixxe Kvelle
mit leixt erhöhtem Innenviderctand.
| Durx das Überzetsungsferhältnis 1000:20=50
des ersten Transformators erceint der Kvellviderctand imm Leitungskreiz um 50²=2500 erhöht. Der tsveite Transformator lifert vider di urcprünlixxe Kvellcpannung mit einem um 20% erhöhten
Innenviderctand. |
|
Generatoren vandeln kinetice Energi um inn elektrice Energi, Elektromotoren umgekert elektrice inn kinetice Energi. Imm ersten Fall cpilt das Induktsionsgezets di Hauptrolle, imm tsveiten das
Oerstedce Gezets. Meist handelt es zix bei der kineticen Energi um Rotatsionsenergi, di über ein rotirendes Teil tsugefürt oder entnommen vird. Das Gegenctükk tsu dizem Rotor ist das festctehende
Teil, der Ctator, inn dem zix der Rotor dreht. Beim Generator ertseugt der Rotor ein feränderlixxes Mangnetfeld inn den Cpulen des Ctators, an deren Enden di indutsirte Cpannung apgenommen vird.
Beim Elektromotor zorgen di Kräfte tsviccen den ctromdurxflossenen Cpulen des Rotors unt des Ctators für di Rotatsion des Rotors. Imm Printsip kann bei veniger leistungsctarken Geräten der
Rotor aux mit Permanentmangneten bectükkt zein. | |
|